题目列表(包括答案和解析)

 0  46111  46119  46125  46129  46135  46137  46141  46147  46149  46155  46161  46165  46167  46171  46177  46179  46185  46189  46191  46195  46197  46201  46203  46205  46206  46207  46209  46210  46211  46213  46215  46219  46221  46225  46227  46231  46237  46239  46245  46249  46251  46255  46261  46267  46269  46275  46279  46281  46287  46291  46297  46305  447348 

14.花园内有一块边长为的正方形土地,园艺师设计了四种不同图案,其中的阴影部分用于种植花草,种植花草面积最大的是                 (  )

试题详情

13.观察下列算式:21=2,22=4,23=8,24=16,25=32,26=64,27=128,28=256,……。通过观察,用作所发现的规律确定212的个位数字是            (  )

A.2      B.4        C.6        D.8

试题详情

12.如果等边三角形的边长为6,那么它的内切圆的半径为          (  )

    A.3      B.      C.     D.

试题详情

11.在比例尺1:6000000的地图上,量得南京到北京的距离是15㎝,这两地的实际距离是                                 (  )

    A.0.9㎞     B. 9㎞      C.90㎞      D.900㎞

试题详情

10.如图,AB∥CD,AC⊥BC,图中与∠CAB互余的角有               (    )

  A.1个                B.2个

C.3个                D.4个

试题详情

9.在△ABC中,∠C=90°,AC=BC=1,则sinA的值是           (  )

   A.       B.       C. 1       D.   

试题详情

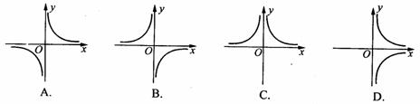
8.已知k>0 ,那么函数y= 的图象大致是             (  )

  

试题详情

7.不等式组的解集在数轴上可表示为            (  )

试题详情

6.已知两圆的半径分别为3㎝和4㎝,两个圆的圆心距为10㎝,则两圆的位置关系是(  )

   A.内切      B.相交     C.外切      D.外离 

试题详情

5.下列根式中,属于最简二次根式的是                (  )

A.     B.     C.     D.

试题详情


同步练习册答案