题目列表(包括答案和解析)

 0  61912  61920  61926  61930  61936  61938  61942  61948  61950  61956  61962  61966  61968  61972  61978  61980  61986  61990  61992  61996  61998  62002  62004  62006  62007  62008  62010  62011  62012  62014  62016  62020  62022  62026  62028  62032  62038  62040  62046  62050  62052  62056  62062  62068  62070  62076  62080  62082  62088  62092  62098  62106  447348 

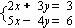
5、如果方程组 的解与方程组的解相同,则a、b的值是(     )

A、           B、          C、          D、

试题详情

4、在下列方程组中,与方程组 的解不相同的是(       )

A、          B、          

  C、        D、

试题详情

3、若x+y=6,x-y=2,则xy的值是(     )

A、12       B、16          C、4        D、8

试题详情

2、在方程3x-2y=0,0.5y+x=5, +3=x ,2xy=16中,二元一次方程的

个数是(     )

A、1 个     B、2个         C、3个     D、4个

试题详情

1、已知x = 2,y = 1,与x = 3,y = 3都是方程y=kx+b的解,则k和b的值是(     )

A、           B、         C、     D、

试题详情

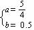
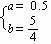
10、已知方程ax+by-5=0 有两个解分别是  和  ,则a =       ,b =      

试题详情

9、已知单项式-ax+yb5 与0.5x3y-1bx+y 是同类项,则x =      ;y =     

试题详情

8、若是方程ax-2y=1的解,则a =       

试题详情

7、在y=kx+b中,当x= 5时,y = 6,当x = -1时,y = -2,则当x = 0时,y =  

试题详情

6、方程x+2y=7在正整数范围内的解是    

试题详情


同步练习册答案