题目列表(包括答案和解析)

 0  61913  61921  61927  61931  61937  61939  61943  61949  61951  61957  61963  61967  61969  61973  61979  61981  61987  61991  61993  61997  61999  62003  62005  62007  62008  62009  62011  62012  62013  62015  62017  62021  62023  62027  62029  62033  62039  62041  62047  62051  62053  62057  62063  62069  62071  62077  62081  62083  62089  62093  62099  62107  447348 

3、已知|x+1|+(x+y-3)2=0 ,求x+y 的值

试题详情

2、已知    ,求代数式   的值

试题详情

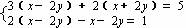
1、已知   是方程y=ax+b的解;    是方程

b(x-3)=2(y+a)的解,求a2+b2 的值。

试题详情

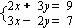
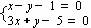
3、          4、

试题详情

1、          2、

试题详情

10、某校课外活动小组的学生准备分组外出活动,若每组7人,则余下3人;若每组

8人,则少5人,如果设课外活动小组共有x人,分成的组数为y,那么可列出方程组(   )

A、       B、

C、              D、

试题详情

9、对于有理数x,定义f(x)=ax+b,已知f(0)=3,f(-1)=2,

则f(2)的值是(    )

A、5        B、4        C、3        D、1

试题详情

8、以 的解的方程组是(      )

A、           B、    

    C、       D、

试题详情

7、如果  是方程x+2y=m和x+y=n的解,则m +n的值是(      )

A、5        B、-5         C、9        D、-9

试题详情

6、下列选项中,属于方程4x-y=10的解是(      )

A、          B、         C、          D、

试题详情


同步练习册答案