题目列表(包括答案和解析)

 0  62081  62089  62095  62099  62105  62107  62111  62117  62119  62125  62131  62135  62137  62141  62147  62149  62155  62159  62161  62165  62167  62171  62173  62175  62176  62177  62179  62180  62181  62183  62185  62189  62191  62195  62197  62201  62207  62209  62215  62219  62221  62225  62231  62237  62239  62245  62249  62251  62257  62261  62267  62275  447348 

2、如图2,已知∠B=∠C,则∠ADC与∠AEB的大小关系是:

A、∠ADC>∠AEB   B、∠ADC<∠AEB

C、∠ADC=∠AEB   D、大小关系不能确定

试题详情

1、以下列各组长度的线段为边,能构成三角形的是:

A.7cm,5cm,12cm     B.6cm,8cm,15cm

C.4cm,6cm,5cm    D.8cm,4cm,3cm

试题详情

2.某小组20名同学的数学测验成绩如下,试计算他们的平均分.

 81,72,77,83,73,85,92,84,75,63,76,97,80,90,76,91,86,78,74,85.

试题详情

1.计算下列各式的值:

 (1)-1+3-5+7-9+11-…-1997+1999;

 (2)11+12-13-14+15+16-17-18+…+99+100;

 (3)1991×1999-1990×2000;

 (4)4726342+472 6352-472 633×472 635-472 634×472 636;

 

 (6)1+4+7+…+244;

 

试题详情

3.观察算式找规律

 例11 某班20名学生的数学期末考试成绩如下,请计算他们的总分与平均分.

 87,91,94,88,93,91,89,87,92,86,90,92,88,90,91,86,89,92,95,88.

 分析与解 若直接把20个数加起来,显然运算量较大,粗略地估计一下,这些数均在90上下,所以可取90为基准数,大于90的数取“正”,小于90的数取“负”,考察这20个数与90的差,这样会大大简化运算.所以总分为

 90×20+(-3)+1+4+(-2)+3+1+(-1)+(-3)

  +2+(-4)+0+2+(-2)+0+1+(-4)+(-1)

  +2+5+(-2)

 =1800-1=1799,

 平均分为 90+(-1)÷20=89.95.

 例12 计算1+3+5+7+…+1997+1999的值.

 分析 观察发现:首先算式中,从第二项开始,后项减前项的差都等于2;其次算式中首末两项之和与距首末两项等距离的两项之和都等于2000,于是可有如下解法.

 解 用字母S表示所求算式,即

S=1+3+5+…+1997+1999. ①

 再将S各项倒过来写为

S=1999+1997+1995+…+3+1. ②

 将①,②两式左右分别相加,得

 2S=(1+1999)+(3+1997)+…+(1997+3)+(1999+1)

  =2000+2000+…+2000+2000(500个2000)

  =2000×500.

 从而有 S=500 000.

 说明 一般地,一列数,如果从第二项开始,后项减前项的差都相等(本题3-1=5-3=7-5=…=1999-1997,都等于2),那么,这列数的求和问题,都可以用上例中的“倒写相加”的方法解决.

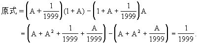
 例13 计算 1+5+52+53+…+599+5100的值.

 分析 观察发现,上式从第二项起,每一项都是它前面一项的5倍.如果将和式各项都乘以5,所得新和式中除个别项外,其余与原和式中的项相同,于是两式相减将使差易于计算.

 解 设

S=1+5+52+…+599+5100, ①

 所以

5S=5+52+53+…+5100+5101. ②

 ②-①得

4S=5101-1,

    

 说明 如果一列数,从第二项起每一项与前一项之比都相等(本例中是都等于5),那么这列数的求和问题,均可用上述“错位相减”法来解决.

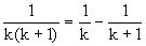
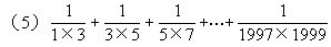
 例14 计算:

      

 分析 一般情况下,分数计算是先通分.本题通分计算将很繁,所以我们不但不通分,反而利用如下一个关系式

来把每一项拆成两项之差,然后再计算,这种方法叫做拆项法.

 解 由于

  

 所以

  

 说明 本例使用拆项法的目的是使总和中出现一些可以相消的相反数的项,这种方法在有理数巧算中很常用.

练习一

试题详情

2.用字母表示数

 我们先来计算(100+2)×(100-2)的值:

(100+2)×(100-2)=100×100-2×100+2×100-4

=1002-22

 这是一个对具体数的运算,若用字母a代换100,用字母b代换2,上述运算过程变为

(a+b)(a-b)=a2-ab+ab-b2=a2-b2

 于是我们得到了一个重要的计算公式

(a+b)(a-b)=a2-b2, ①

 这个公式叫平方差公式,以后应用这个公式计算时,不必重复公式的证明过程,可直接利用该公式计算.

 例5 计算 3001×2999的值.

 解 3001×2999=(3000+1)(3000-1)

=30002-12=8 999 999.

 例6 计算 103×97×10 009的值.

 解 原式=(100+3)(100-3)(10000+9)

=(1002-9)(1002+9)

=1004-92=99 999 919.

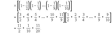
 例7 计算:

 分析与解 直接计算繁.仔细观察,发现分母中涉及到三个连续整数:12 345,12 346,12 347.可设字母n=12 346,那么12 345=n-1,12 347=n+1,于是分母变为n2-(n-1)(n+1).应用平方差公式化简得

n2-(n2-12)=n2-n2+1=1,

 即原式分母的值是1,所以原式=24 690.

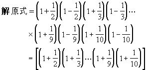
 例8 计算:

(2+1)(22+1)(24+1)(28+1)(216+1)(232+1).

 分析 式子中2,22,24,…每一个数都是前一个数的平方,若在(2+1)前面有一个(2-1),就可以连续递进地运用(a+b)(a-b)=a2-b2了.

 解 原式=(2-1)(2+1)(22+1)(24+1)(28+1)×(216+1)(232+1)

    =(22-1)(22+1)(24+1)(28+1)(216+1)×(232+1)

    =(24-1)(24+1)(28+1)(216+1)(232+1)=……

    =(232-1)(232+1)

    =264-1.

 例9 计算:

 分析 在前面的例题中,应用过公式

(a+b)(a-b)=a2-b2

 这个公式也可以反着使用,即

a2-b2=(a+b)(a-b).

 本题就是一个例子.

 

 

 通过以上例题可以看到,用字母表示数给我们的计算带来很大的益处.下面再看一个例题,从中可以看到用字母表示一个式子,也可使计算简化.

 例10 计算:

 

  

我们用一个字母表示它以简化计算.

  

 

试题详情

1.括号的使用 

 在代数运算中,可以根据运算法则和运算律,去掉或者添上括号,以此来改变运算的次序,使复杂的问题变得较简单.

 例1 计算:

  

 分析 中学数学中,由于负数的引入,符号“+”与“-”具有了双重涵义,它既是表示加法与减法的运算符号,也是表示正数与负数的性质符号.因此进行有理数运算时,一定要正确运用有理数的运算法则,尤其是要注意去括号时符号的变化.

  

  

 注意 在本例中的乘除运算中,常常把小数变成分数,把带分数变成假分数,这样便于计算.

 例2 计算下式的值:

 211×555+445×789+555×789+211×445.

 分析 直接计算很麻烦,根据运算规则,添加括号改变运算次序,可使计算简单.本题可将第一、第四项和第二、第三项分别结合起来计算.

 解 原式=(211×555+211×445)+(445×789+555×789)

    =211×(555+445)+(445+555)×789

    =211×1000+1000×789

    =1000×(211+789)

    =1 000 000.

 说明 加括号的一般思想方法是“分组求和”,它是有理数巧算中的常用技巧.

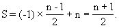
 例3 计算:S=1-2+3-4+…+(-1)n+1·n.

 分析 不难看出这个算式的规律是任何相邻两项之和或为“1”或为“-1”.如果按照将第一、第二项,第三、第四项,…,分别配对的方式计算,就能得到一系列的“-1”,于是一改“去括号”的习惯,而取“添括号”之法.

 解 S=(1-2)+(3-4)+…+(-1)n+1·n.

 下面需对n的奇偶性进行讨论:

 当n为偶数时,上式是n/2个(-1)的和,所以有

 当n为奇数时,上式是(n-1)/2个(-1)的和,再加上最后一项(-1)n+1·n=n,所以有

 例4 在数1,2,3,…,1998前添符号“+”和“-”,并依次运算,所得可能的最小非负数是多少?

 分析与解 因为若干个整数和的奇偶性,只与奇数的个数有关,所以在1,2,3,…,1998之前任意添加符号“+”或“-”,不会改变和的奇偶性.在1,2,3,…,1998中有1998÷2个奇数,即有999个奇数,所以任意添加符号“+”或“-”之后,所得的代数和总为奇数,故最小非负数不小于1.

 现考虑在自然数n,n+1,n+2,n+3之间添加符号“+”或“-”,显然

n-(n+1)-(n+2)+(n+3)=0.

 这启发我们将1,2,3,…,1998每连续四个数分为一组,再按上述规则添加符号,即

(1-2-3+4)+(5-6-7+8)+…+(1993-1994-1995+1996)-1997+1998=1.

 所以,所求最小非负数是1.

 说明 本例中,添括号是为了造出一系列的“零”,这种方法可使计算大大简化.

试题详情

28、(本题10分)

(1)________    ;(2)________    ;(3)________   

(4)去掉经理的工资后,其他员工工资的平均数是________   元,是否也能反映

该餐厅员工工资的一般水平?为什么?

试题详情

27、(本题10分)

试题详情

26、(本题8分)

试题详情


同步练习册答案