题目列表(包括答案和解析)

 0  63918  63926  63932  63936  63942  63944  63948  63954  63956  63962  63968  63972  63974  63978  63984  63986  63992  63996  63998  64002  64004  64008  64010  64012  64013  64014  64016  64017  64018  64020  64022  64026  64028  64032  64034  64038  64044  64046  64052  64056  64058  64062  64068  64074  64076  64082  64086  64088  64094  64098  64104  64112  447348 

3、下列判断正确的是( )

A、一个数的相反数是负数 B、最大的负数是-1 

C、非负数中最小数是零 D、比正数小的数都是负数

试题详情

2、在下面的图形中( )是正方体的展开图。

 

 

  A         B       C          D

试题详情

1、如图1,∠AOC和∠BOD都是直角,如果∠AOB=140°,则∠DOC的度数是( )

A、30° B、40° C、50° D、60°

试题详情

2、小亮从家里骑自行车到学校,如果每小时行15千米,那么可以早到校15分钟;如果每小时行9千米,那么迟到15分钟,现在他打算早到校10分钟,每小时应该行多少千米?

试题详情

1、现在王老师的年龄比一名学生的年龄的3倍少2岁,而10年后王老师的年龄恰为这位学生的年龄的2倍,问:现在王老师和这位学生各多少岁?

试题详情

 (1)已知表示有理数的点在数轴上的位置如图

 化简

 (2)a是绝对值等于2的负数,b 是最小的正整数,c的倒数的相反数是-2,

求代数式的值.

试题详情

 (1)

 (2)

(3)

试题详情

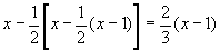
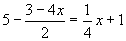
 (1)   (2)

 (3)

 (4)

试题详情

8、已知abc≠0,且根据a,b,c的不同取值,x有(   )

 (A)唯一确定的值  (B) 三种不同的值:

(C)四种不同的值; (D)八种不同的值:

试题详情

7、X是方程5x-3=6x-2的解, n为正整数,则代数式的值为(   )

 (A)0  (B)1  (C) 1或0  (D)-1或0

试题详情


同步练习册答案