题目列表(包括答案和解析)

 0  64714  64722  64728  64732  64738  64740  64744  64750  64752  64758  64764  64768  64770  64774  64780  64782  64788  64792  64794  64798  64800  64804  64806  64808  64809  64810  64812  64813  64814  64816  64818  64822  64824  64828  64830  64834  64840  64842  64848  64852  64854  64858  64864  64870  64872  64878  64882  64884  64890  64894  64900  64908  447348 

1、-2的绝对值是(   )

A.      B. 2     C. –2     D. –

试题详情

26.(10分)把_4,一3,一2,一l,0,1,2,3,4这九个数分别填入图中的9个空格内,使得每行  的三个数,每列的三个数,斜对角的三个数相加均为O.

试题详情

25.(10分)(1)计算:1-2+3-4+5-6+…+99-100的值;

(2)已知a-1的相反数是3,6的绝对值是2,求a+b的值.

试题详情

24.(8分)巡警李明骑摩托车在一条南北大道上巡逻.一天,他从岗亭出发往返巡逻在这条路上,并记录下了每次行驶的路程(规定向北方向为正,单位:千米):+2.5;一1.2,一1.6:+O.9,-1.1,+2,-0.5,+1·4-

  (1)如果最后摩托车停在A处,那么A处在岗亭的南面还是北面?距岗亭多远?

  (2)如果摩托车每千米耗油0.04升,问这一天摩托车共耗油多少升?

试题详情

23.(5分)拖拉机队打算在3天内机耕一片土地,第一天耕了这片地的第二天耕了这片地的如果这片土地共有48公顷,问第三天还要耕多少公顷?

试题详情

22.(5分)佳佳超市在一个星期之内到储蓄所办理存款、取款共5次,第一次存入850元,第二次存入700元,第三次取出2350元,第四次存入550元,第五次存入600元.问经过这五次取存款后,超市在银行的存款比原来多了。还是少了?增加或减少了多少元?

试题详情

21.(12分)计算:

   (1)(-16)+(+27)+(+9)+(一24);

   ,

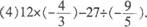
   (2)(一5)+(一2)+(+9)一(一8);

   (3)(一3)×18+14;

试题详情

20.(4分)列式计算:

   (1)已知-个数减去4,差为一3,求这个数;

   (2)已知一4与一个数的积为10。求这个数.

试题详情

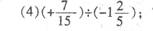
19.(12分)计算:

   (1)(-4.5)+9.6;   (2)0一(-10);

(3)(-1.25)×(一8);

(5)一34-(一8+14);

试题详情

18.小明测得一周的体温并登记在下表(单位:℃)

星期
  日
 
 
 
  四
  五
  六
  周平均体温
体温
36.6
 36.7
 37.0
 37.3
-
36.9
 37.1
   36.9

其中星期四的体温被墨迹污染.根据表中数据,可得此日的体温是(   ) A.36.7~C   B36.8~C   C.36.9℃D.37.0~C

试题详情


同步练习册答案