题目列表(包括答案和解析)

 0  65795  65803  65809  65813  65819  65821  65825  65831  65833  65839  65845  65849  65851  65855  65861  65863  65869  65873  65875  65879  65881  65885  65887  65889  65890  65891  65893  65894  65895  65897  65899  65903  65905  65909  65911  65915  65921  65923  65929  65933  65935  65939  65945  65951  65953  65959  65963  65965  65971  65975  65981  65989  447348 

16.已知是同类项,则的值分别是      (   )

A.4、1       B.1、4       C.0、8      D.8、0  

试题详情

15.下列方程组中与具有相同的解的方程组是      (   )

A.  B.   C.   D.

试题详情

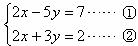
14.用加减法解方程组时,由②-①得     (   )

A.     B.     C.    D.

试题详情

13.用代入法解方程组,下列解法中最简便的是(   )

A.由①得代入②       B.由①得代入②

C.由②得代入①        D.由②得代入①

试题详情

12.方程组的解是                 (    )

A.   B.   C.   D.

试题详情

11.下列方程组中,是二元一次方程组的是        (    )

A.   B.   C.   D.

试题详情

10.写出一个关于x、y的二元一次方程组,这个方程组的解为,那么你所写的方程组是_____________________________。

试题详情

9.娃哈哈矿泉水有大箱和小箱两种包装,3大箱,2小箱共92瓶;5大箱,3小箱共150瓶,那么一大箱有___________瓶,一小箱有__________瓶。

试题详情

8.若,则x=___________,y=____________。

试题详情

7.甲数的60%与乙数的差是甲乙两数和的一半,设甲数的x,乙数为y,那么列方程是__________________________。

试题详情


同步练习册答案