题目列表(包括答案和解析)

 0  68358  68366  68372  68376  68382  68384  68388  68394  68396  68402  68408  68412  68414  68418  68424  68426  68432  68436  68438  68442  68444  68448  68450  68452  68453  68454  68456  68457  68458  68460  68462  68466  68468  68472  68474  68478  68484  68486  68492  68496  68498  68502  68508  68514  68516  68522  68526  68528  68534  68538  68544  68552  447348 

24.若方程组的解xy 的值相等,则a 的值为(   )

A.-4   B.4   C.2   D.1

试题详情

23.三元一次方程组的解是(   )

A.   B.   C.   D.

试题详情

22.已知方程组的解是,那么mn 的值为(   )

A.   B.   C.   D.

试题详情

21.已知2 xb+5y3a与-4 x2ay24b是同类项,则ba的值为(   )

A.2   B.-2   C.1   D.-1

试题详情

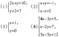
20.已知下列方程组:(1),(2),(3),(4)

其中属于二元一次方程组的个数为(   )

A.1   B.2   C.3   D.4

试题详情

19.已知方程组

其中正确的说法是( )

A.只有(1)、(3)是二元一次方程组

B.只有(1)、(4)是二元一次方程组

C.只有(2)、(3)是二元一次方程组

D.只有(2)不是二元一次方程组

试题详情

18.一个三位数,若百位上的数为x,十位上的数为y,个位上的数是百位与十位上的数的差的2倍,则这个三位数是_______________.

试题详情

17.当m=_______时,方程x+2y=2,2x+y=7,mxy=0有公共解.

试题详情

16.若|3a+4bc|+(c-2 b)2=0,则abc=_________.

试题详情

15.已知等式ykx+b,当x=2时,y=-2;当x=-时,y=3,则k=____,b=____.

试题详情


同步练习册答案