题目列表(包括答案和解析)

 0  68363  68371  68377  68381  68387  68389  68393  68399  68401  68407  68413  68417  68419  68423  68429  68431  68437  68441  68443  68447  68449  68453  68455  68457  68458  68459  68461  68462  68463  68465  68467  68471  68473  68477  68479  68483  68489  68491  68497  68501  68503  68507  68513  68519  68521  68527  68531  68533  68539  68543  68549  68557  447348 

41. 解析:由题意我们只要求出贪污受贿的官员和廉洁官员中的健康人数再分别与各自的总数作比即可得到贪污受贿的官员和廉洁官员中的健康人数各自占统计人数的百分比.    解:设贪污受贿的官员中健康人数有x人,廉洁官员中健康人数有y人,根据题意,得

 

答:贪污受贿的官员中健康人数占统计人数的40%,廉洁官员中健康人数占统计人数的84%.

试题详情

40. 解析:由甲乙混做的时间和钱数我们可求出甲乙各自单独做需要的时间和费用,然后再进行比较.

解:设甲组单独完成需x天,乙组单独完成需y天,则根据题意,得   

经检验,符合题意.即甲组单独完成需12天,乙组单独完成需24天.再设甲组工作一天应得m元,乙组工作一天应得n元.

经检验,符合题意.所以甲组单独完成需300×12=3600(元),乙组单独完成需140×24=3360(元).故从节约开支角度考虑,应选择乙组单独完成.答: 这家店应选择乙组单独完成.

试题详情

39.解析:由于成都到乙绵阳的距离不知道是多少,从成都到绵阳规定的时间也不知道,所以不能直接求速度.我们可以设成都到绵阳的路程和规定的时间为未知数,列方程求解,最后用速度=路程÷时间得到标准速度.

解:设成都、绵阳两地的之间距离为s千米,从成都到绵阳的规定时间为t小时.

根据题意,得解得 经检验,符合题意.则=60(千米/小时).

答:他以每小时60千米/小时的速度行驶可准时到达.

试题详情

38.解析:设第一个长方形的长与宽分别为5xcm和4xcm,第二个长方形的长与宽分别为3ycm和2ycm

从而第一个长方形的面积为:5x×4x=20x2=1620(cm2);第二个长方形的面积为:3y×2y=6y2=150(cm2).   答:这两个长方形的面积分别为1620cm2和150cm2

试题详情

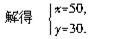
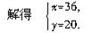
37.解析:由“我像你这样大时,你才4岁”可知师傅现在的年龄等于徒弟现在的年龄加上徒弟现在的年龄减4,由“当你像我这样大时,我已经是52岁的人了”可知52等于师傅现在的年龄加上师傅现在的年龄减去徒弟的年龄.由这两个关系可列方程组求解.设现在师傅x岁,徒弟y岁,根据题意,得 

 

答:现在师傅36岁,徒弟20岁.

试题详情

36.解析:由题意得甲做12天,乙做8天能够完成任务;而甲做9天,乙做13天也能完成任务,由此关系我们可列方程组求解.设甲每天做x个机器零件,乙每天做y个机器零件,根据题意,得

 

答:甲每天做50个机器零件,乙每天做30个机器零件

试题详情

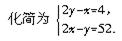
35.解析:设第一个方程中y的系数为a,第二个方程的x系数为b.则原方程组可写成

试题详情

34.解析:设两个加数分别为xy.根据题意,得解得

所以原来的两个加数分别为230和42.

试题详情

33.解析: 设甲、乙的速度分别为x千米/时和y千米/时.第一种情况:甲、乙两人相遇前还相距3千米.根据题意,得

第二种情况:甲、乙两人是相遇后相距3千米.根据题意,得    答:甲、乙的速度分别为4千米/时和5千米/时;或甲、乙的速度分别为千米/时和千米/时.

试题详情

32.

试题详情


同步练习册答案