0  114825  114833  114839  114843  114849  114851  114855  114861  114863  114869  114875  114879  114881  114885  114891  114893  114899  114903  114905  114909  114911  114915  114917  114919  114920  114921  114923  114924  114925  114927  114929  114933  114935  114939  114941  114945  114951  114953  114959  114963  114965  114969  114975  114981  114983  114989  114993  114995  115001  115005  115011  115019  447090 

19.解:(Ⅰ)圆化成标准方程为:

若圆轴相切,那么有:

,解得,故所求圆的方程为:.

(Ⅱ)令,得

    所以

假设存在实数

当直线AB与轴不垂直时,设直线AB的方程为

代入得,

从而

因为

因为,所以,即,得

当直线AB与轴垂直时,也成立.   故存在,使得

20解:设公比为q,则由题意,得q>0.

(1)①由a2a1=8,a3m=48,得

    解之,得  或

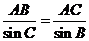
所以数列{an}的通项公式为an=8(2-)(3+)n-1,或an=8(2+)(3-)n-1

②要使满足条件的数列{an}是唯一的,即关于a1q的方程组有唯一正数解,即方程8q2mqm=0有唯一解.

由△=m2-32m=0,a3m>0,所以m=32,此时q=2.

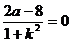
经检验,当m=32时,数列{an}唯一,其通项公式是an=2n2

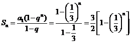
(2)由a2ka2k1+…+ak1 (akak1+…+a1 )=8,

a1(qk-1)(qk1qk2+…+1)=8,且q>1.

    a2k1a2k2+…+a3ka1q2k(qk1qk2+…+1)

≥32,

当且仅当 ,即qa1=8(-1)时,

  a2k1a2k2+…+a3k的最小值为32.

 

 

试题详情

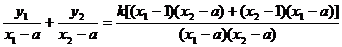
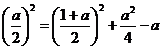
18.解:(1)设,则

由题意得,,解得.       

(2)设,则

,    

,即为锐角,

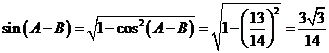
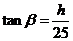
,则

,   

当且仅当

时,最大. 

试题详情

17.解:(1)因  ①

时,   ②

由① - ②得, 

      

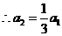
故数列是首项为1,公比的等比数列,   

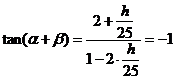
(2)假设存在满足题设条件的实数,由(1)知

由题意知,对任意正整数恒有,又数列单调递增,

所以,当时数列中的最小项为,则必有,即实数最大值为1.

试题详情

二、解答题

16.解:(1)由,得

可得

,  中,

(2)在中,由正弦定理得:.

试题详情

10.-3    11.   12.1    13.      14.2101

试题详情

5.10100    6.      7.     8.     9. π-2 

试题详情

一、填空题

1.3x-4y+8=0或3x+4y-8=0 2.   3.-6  4.(x+2)22

试题详情

20.(本小题满分16分)已知数列{an}成等比数列,且an>0.

(1)若a2a1=8,a3=m

①当m=48时,求数列{an}的通项公式;

②若数列{an}是唯一的,求m的值;

(2)若a2ka2k1+…+ak1 (akak1+…+a1 )=8,k∈N*,

 求a2k1a2k2+…+a3k的最小值.

 

 

 

 

 

 

 

 

 

 

 

 

 

 

 

 

 

 

      高一第二学期数学期末考试模拟试卷(答案)

试题详情

19.(本小题满分16分)如图,圆.(Ⅰ)若圆轴相切,求圆的方程;(Ⅱ)已知,圆C与轴相交于两点(点在点的左侧).过点任作一条直线与圆相交于两点.问:是否存在实数,使得?若存在,求出实数的值,若不存在,请说明理由.

 

 

 

 

 

 

 

 

 

 

 

 

 

 

 

 

 

试题详情

18.(本小题满分16分)图1是某斜拉式大桥图片,为了了解桥的一些结构情况,学校数学兴趣小组将大桥的结构进行了简化,取其部分可抽象成图2所示的模型,其中桥塔与桥面垂直,通过测量得知,当中点时,.(1)求的长;(2)试问在线段的何处时,达到最大.

 

 

 

 

 

 

 

 

 

 

 

 

 

 

 

 

 

 

试题详情


同步练习册答案