0  139935  139943  139949  139953  139959  139961  139965  139971  139973  139979  139985  139989  139991  139995  140001  140003  140009  140013  140015  140019  140021  140025  140027  140029  140030  140031  140033  140034  140035  140037  140039  140043  140045  140049  140051  140055  140061  140063  140069  140073  140075  140079  140085  140091  140093  140099  140103  140105  140111  140115  140121  140129  447090 

35.实验室欲配制1000g溶质质量分数为4%的氢氧化钠溶液。配制步骤为:

⑴计算:需氢氧化钠固体_______g,水_____mL(水的密度是1g/cm3)

⑵称量:用质量为23.1g的烧杯用称量容器,在托盘天平上称取氢氧化钠固体时,盛有氢氧化钠固体的烧杯应放在  盘。在下表所列的砝码中,选出所需砝码(打“√”表示选用):

砝码/g
100
50
20
20
10
5
打“√”表示选用
 
 
 
 
 
 

并在下列标尺中选出能正确表示游码位置的选项     (填字母)。

⑶溶解:将氢氧化钠固体溶于水,用________搅拌,使氢氧化钠全部溶解,冷却至室温。

⑷把配好的溶液装入试剂瓶,盖好瓶盖并贴上标签,放入试剂柜中。

试题详情

34.请回答下列问题:(在下列⑴⑵两小题中任选一题回答,若两小题都回答,则以第⑴小题的答案评定分数。)

  ⑴写出万一发生火灾时可采取的灭火和自救措施各一条。

  ⑵人体缺少必需的微量元素会得病,因此应尽可能多吃含有这些元素的营养补剂,你认为对吗?为什么?

试题详情

33.A、D、E、F为氧化物,B、C为单质,C不能与稀硫酸反应。除F外都是初中化学中常见的物质。F与A的组成元素相同,且各元素均呈现常见的化合价,F的相对分子质量为144。在一定条件下,它们的转化关系如下图所示。

 试回答下列问题:

 ⑴物质F的化学式是      。

 ⑵反应①属于_______反应(填基本反应类型)。

 ⑶反应④     (填“放出”或“吸收”)热量。

 ⑷写出反应②的化学方程式                 

  写出反应③的化学方程式                  

试题详情

32.研究物质时常对物质进行分类,以便对同类物质的组成、性质等进行深入研究。请从下列物质中选出一种物质,写出该物质与其他物质不同的理由(一种物质可选用一次,也可选用多次)。

物质组
选出物质
理由
Cu  O2  N2  CO
 
 
 
 
 
 
 
 

试题详情

31.A、B、C、D四种元素,A元素的原子核外只有一个电子,B元素是地壳中含量最高的

元素,幼儿和青少年缺少C元素会得佝偻病,D元素的单质是空气中含量最多的气体。写

出A、B、C三种元素的名称或符号A____、B_______、C______;。D元素单质的名称或化学式是_______;A、B、C三种元素组成的一种化合物的化学式是_______。

试题详情

30.根据KNO3和NaCl的溶解度曲线,回答下列问题:

  ⑴l0℃时KNO3的溶解度    (填“>”、“<”或“=”)NaCl的溶解度。

  ⑵t℃时,将mg KNO3 、ng NaCl 分别溶解在20mL水中恰好饱和,则m____n(填“>”、“<”或“=”)。

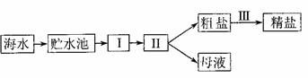
  ⑶工业上采用如下的流程从海水中提取精盐:

上述流程中Ⅰ、Ⅱ、Ⅲ分别是           

试题详情

29.写出下列反应的化学方程式,并在括号里注明反应的基本类型:

  ⑴过氧化氢与二氧化锰混合制氧气                ,(    )反应;

  ⑵铁丝在氧气中燃烧                      ,(    )反应;

  ⑶铜丝浸入硝酸银溶液中                        ;

⑷镁在二氧化碳中燃烧生成氧化镁和炭黑                 。

试题详情

28.现有Na、O、C、H四种元素中,请选用其中一种或几种元素写出符合下列要求的化学式各写一个:

  ⑴最理想的燃料     ;⑵空气中体积分数占第二位的气体     

  ⑶汽水中含有的不稳定的酸     ;⑷发酵粉的主要成分小苏打    

试题详情

27.在“生石灰、明矾、碳酸钙、不锈钢、聚乙烯、纯碱”中选择适当的物质填空。

  ⑴用于制造医疗器械、炊具的是     ;⑵用作食品干燥剂的是   

  ⑶用于造纸、纺织工业的盐是     ;  ⑷用作补钙的盐是     

  ⑸属于有机高分子化合物的是     ;  ⑹净化水时可作絮凝剂的是    

试题详情

26.用数字和化学符号填空:

  ⑴氯原子    ;⑵2个钠离子    ;⑶3 个二氧化碳分子    

  ⑷-2价的硫元素     ;⑸保持水的化学性质的最小粒子    

试题详情


同步练习册答案