0  140174  140182  140188  140192  140198  140200  140204  140210  140212  140218  140224  140228  140230  140234  140240  140242  140248  140252  140254  140258  140260  140264  140266  140268  140269  140270  140272  140273  140274  140276  140278  140282  140284  140288  140290  140294  140300  140302  140308  140312  140314  140318  140324  140330  140332  140338  140342  140344  140350  140354  140360  140368  447090 

3.下列说法,你认为正确的是

   A.人类利用的能量都是通过化学反应获得的

   B.现代化学技术可在只有水的条件下生产汽油

   C.CO2会使全球变暖,所以大气中CO2越少越好

   D.在使用乙醇等新型燃料时,也要注意可能造成的环境污染

试题详情

2.下图是人体不可缺少的钙元素的原子结构示意图,则钙原子的

   A.质子数为20      B.电子层数为3

   C.最外层电子数为10   D.核外电子数为40

试题详情

题记:化学此在我们身边,化学与我们息息相关

1.小明的食谱中有猪肉、米饭、食盐、矿泉水。从均衡营养的角度,小明还需增加摄入

   A.蛋白质   B.糖类   C.无机盐   D.维生素

试题详情

28.(6分)在活动与探究实验中,老师提供了一包钾肥(包装上注明主要原因成份是硫酸钾,化学式为K2SO4,纯度为95.0%)样品给同学们,让同学们通过实验确定该样品的纯度(硫酸钾的质量分数)是否符合标准。丽丽同学称取8.0克样品,加入适量的水溶解后,与足量的BaCl2溶液充分反应,生成BaSO4沉淀,过滤、洗涤、烘干沉淀,测得其质量为9.8克,试通过计算确定该化肥的纯度是否符合包装袋上的说明(假设杂质不与BaCl2溶液反应,计算结果精确到0.1%)。

试题详情

27.(4分)你想吃菠萝雪糕吗?你想知道菠萝雪糕中散发出菠萝香味的物质是什么?它便是

戊酸乙酯(C7H14O2),下面就菠萝香味的物质回答下列问题:

(1)戊酸乙酯分子中各原子的原子个数比C:H:O=        

(2)戊酸乙酯的相对分子质量          

试题详情

26.(9分)小亮在学习了纯碱(Na2CO3)的性质后,联想到家中蒸制馒头时常用的物质小苏打(NaHCO3),于是从厨房取适量小苏打样品进行了如下实验探究。

实验一:探究碳酸氢钠的化学性质

(1)取样品溶于适量的水中,测得溶液的pH大于7。于是作出判断NaHCO3溶液显(“酸性、碱性、中性”)    性。

(2)向小苏打样品中滴加盐酸,有大量气泡产生,经检验该气体是二氧化碳。该反应的化学方程式为                       

(3)若生成的CO2中混有少量的SO2为了除去SO2,现设计以下两种方法。

甲方法: 将气体通过足量的碳酸氢钠溶液。

乙方法:将气体通过足量的氢氧化钠溶液。

[提供资料]:Ⅰ. CO2   NaHCO3 不会发生反应。

Ⅱ.SO2  +2 NaHCO3 ===Na2SO3 + + H2O +2 CO2

Ⅲ.SO2 + 2NaOH === Na2SO4 + H2O 

请你利用提供的资料和所学的知识帮助小亮分析:

上述     方法(填“甲”或“乙”)可行,理由是              

                            

实验二:探究碳酸钠和碳酸氢钠的热稳定性

(4)小亮通过查阅资料,在老师的指导下采用下图的装置对纯碱和小苏打做了分别加热的对比实验(加热时间、加热温度相同)。加热纯碱时试管中的澄清石灰水无明显现象;

加热小苏打时试管中的澄清石灰水出现白色浑浊;试回答:

①加热小苏打的化学反应方程式:

                         

②实验得出的结论是

                        

试题详情

25.(9分)去年,我市遭遇了超百年一遇的特大洪灾,在洪水面前,小敏同学利用课堂上学会的污水处理知识,对所取的洪水进行了净化处理,解决了家中的暂时用水问题。

(1)用纱布滤去水中的泥沙,她采用的是混合物分离中的__________操作。

(2)若经过操作(1)后的水显弱碱性,小敏可利用家中的(填序号)____将该水调至中性。

A. 白糖    B.食盐     C.食醋        D.白酒

(3)[发现问题]:小敏发现经过操作(1)后的水仍然浑浊,便在浑浊的水中加入适量的明矾,通过搅拌、静置后,发现水变得澄清了。

[查阅资料]:明矾[化学式:KA1(SO4)2·12H2O]是一种常见的净水剂,它在水中离解出的离子主要有K+、A13+、SO42-  。

[提出猜想]:明矾中哪一种离子有净水作用小敏进行了如下实验,请填写表中空白:

实验操作
实验现象
结论
在一杯浑浊的水中加入少量KCl,静置
烧杯中的水仍然浑浊
K+和Cl-都没有净水作用
在一杯浑浊的水中加入少量Al2(SO4)3,静置
烧杯中的水变澄清
 

(4)小敏实验方案不完善,需要对方案进行补充完善,请你把补充方案中要达到的目的和所使用的试剂填入下表。

实验目的
使用的试剂
    A13+是否有净水作用
 
 
 

试题详情

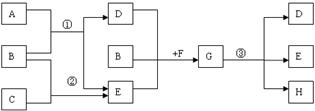
24.(10分)已知下列框图中的A为天然气的主要成分,C、F为常见固体单质,G为绿色粉末。它们相互之间存在下列转化关系(反应条件略)。试根据下图所示的转化关系回答下列问题:

(1)写出下列物质的化学式:

C__________; D__________; H__________。

(2)写出下列转化的化学方程式;

反应①___________________________________________;

反应②___________________________________________。

(3)反应③属__________反应类型,取少量的G固体放在试管中加热,观察到的实验现象为______________________________________________________。

试题详情

23.(10分)某化学兴趣小组在实验室利用如下装置制取气体。

(1)写出编号为①、②的仪器名称:①____________; ②_______________。

(2)利用过氧化氢和二氧化锰来制取并收集氧气,所选用的装置为(填序号)__________;

该反应的化学方程式为__________________________________________________。

(3)若用B装置制取一瓶氢气,用排空气法进行收集,请画出收集装置图__________。

(4)硫化氢(H2S)是一种无色有毒的气体,其水溶液呈酸性,实验后剩余的硫化氢气体应选用__________溶液作吸收剂,且选用下图中的(填序号)__________装置吸收较为理想。

试题详情

22.(4分)油罐着火爆炸后经及时扑救,大火于数小时后基本扑灭,但消防队员用消防水龙头对油罐继续喷水。依据学过的化学知识,请你回答下列问题:

(1)对油罐继续喷水的作用是_________________________________。

(2)假设汽油中某一成分用X表示,燃烧时只发生如下反应:X+11O27CO2+8H2O推断X的化学式: ___________。

试题详情


同步练习册答案