0  140245  140253  140259  140263  140269  140271  140275  140281  140283  140289  140295  140299  140301  140305  140311  140313  140319  140323  140325  140329  140331  140335  140337  140339  140340  140341  140343  140344  140345  140347  140349  140353  140355  140359  140361  140365  140371  140373  140379  140383  140385  140389  140395  140401  140403  140409  140413  140415  140421  140425  140431  140439  447090 

2. “钻石恒久远,一颗永流传”。钻石的主要成分是碳,碳属于

   A.氧化物      B.化合物      C.单质       D.盐

试题详情

1.在化学发展史上,为制碱工业作出杰出贡献的科学家是

   A.道尔顿      B.张青莲      C.拉瓦锡      D.侯德榜

试题详情

30.取13. 8gR2 CO3 (R为未知金属元素)固体完全溶于水得到100g溶液,加入一定质量溶质质量分数为34.2%的Ba(OH)2溶液,恰好完全反应,过滤,得到BaCO3沉淀19.7g。向所得的滤液中滴入酚酞试液,溶液变红,逐滴加入20g一定溶质质量分数的稀盐酸,溶液刚好变成无色。试计算:

(1)R的相对原子质量;

(2) 所加Ba(OH)2溶液的质量;

(3) 最后所得RCl溶液的溶质质量分数(计算结果保留一位小数)。

试题详情

29.(8分)从以下两个供选课题中,选择一个你熟悉或参与研究过的课题,按要求完成填空和短文。

[供选课题]A.温室效应的形成及其危害

       B.酸雨的形成及其危害         你选择________(填A或B)

(1)(2分) A.CO2的产生途径(回答两种途径)

       B.SO2的产生途径(回答两种途径)

    ___________________________________________________________________________

(2)(3分) A.设计实验比较CO2和空气经光照后温度变化的差异(可图示)

        B.设计实验鉴定本地区雨水是否为硫酸型(含少量硫酸)酸雨

(3)(3分) A.写一篇短文指出温室效应的危害并提出减少CO2排放的合理化建议

        B.写一篇短文指出酸雨的危害并提出减少SO2排放的合理化建议

      (字数100字左右)

试题详情

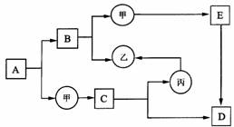
28.(5分)下图是初中化学中常见物质间的转化关系,其中甲、乙、丙为单质;A、B、C、D、E为化合物,且A与B的组成元素相同,D与E的组成元素也相同。已知C、丙均为黑色粉末,C和E在高温条件下可生成丙和D,其余反应条件、部分反应物和生成物均已略去。试推断:

(1)写出有关物质的化学式:A_________、甲_________、E_________;

 (2)写出下列化学方程式:

    A→B+甲:______________________________;

    C+E→丙+D:_______________________________。

试题详情

27. (7分)测定某石灰石样品中碳酸钙的质量分数,其方法是:将样品与稀盐酸反应,测定反应后生成CO2的体积,再根据体积换算为质量,最后根据CO2的质量求出样品中碳酸钙的质量。下图(Ⅰ)为大理石与稀盐酸反应的反应装置,图(Ⅱ)用于测量CO2的体积。

(1) 写出图(I)中仪器的名称:①______,②________,③_________;

(2) 检查图(I)装置气密性的方法是:__________________________________________

_________________________________________________________________;

检查图(Ⅱ)装置气密性的方法是:_________________________________________________

___________________________________________;

(3) 图(Ⅱ)装置中油层的作用是_____________________________________________

(4) __________________________________________________(填操作方法)可使反应前后油层上方气体压强和外界大气压相同,此时排出水的体积即为生成二氧化碳的体积。

试题详情

26.(8分)某校化学研究性学习小组的同学在学习了《金属与矿物》一章后,做了如下图所示的探究实验。实验发现CO与CuO加热后黑色粉末变成红色粉末。请你参与该小组的研究过程并完成相关任务:

 [研究课题] 探究红色粉末的主要成分

 [查阅资料]

(1)有关物质的颜色CuO粉末:黑色,Cu2O粉末:红色

(2)CuO和Cu2O都能和稀硫酸发生反应,化学方程式为:

   CuO十H2SO4 = CuSO4+H2O

   Cu2O+H2SO4 = CuSO4+Cu+H2O

[猜想与实验]

(1)如果硬质玻璃管内红色粉末为一种物质,请猜想它的成分,并设计简单的实验证明你的猜测。

猜想
简单实验方案
现象
CO和CuO反应的化学方程式
 
 
 
 
 
 
 
 

(2) 如果硬质玻璃管内红色粉末为两种物质的混合物,要确定粉末中两种物质的质量分数,还需要通过有关数据计算进行判断。下列数据不可作为计算依据的是        (   )

A.反应前CuO粉末的质量        B.硬质玻璃管中固体物质减少的质量

   C.通入CO的质量              D.反应后固体混合物的总质量

试题详情

25. (6分)某同学设计了利用废旧电池中的锌皮制取干燥、纯净的氢气,并验证该气体中杂质的实验。请回答下列问题:

(1) 若实验中看到____________________现象,可证明产生的气体中含有水蒸气,除此之外还可能含有的气体杂质的化学式是__________;

(2) 如果用E装置检验该杂质,则E中所放试剂的名称为__________,E应连接在上述装置中_______(填字母)之间。

(3) 装置C的作用是_____________________,D中所放试剂的名称为____________。

试题详情

24. (4分)如图,A、B、C、D、E各代表铁、水、二氧化碳、硫酸铜溶液、氢氧化钡溶液中的一种物质。常温下相连环物质间能发生反应,不相连环物质间不能发生反应,且B的相对分子质量大于D。请填空:

(1)写出下列物质的化学式:A___________,B___________,D____________。

(2)相连环物质间发生的反应,没有涉及的基本反应类型是________________________。

试题详情

23. (4分)寻找规律,在横线上填上相应的化学式或名称:

(1)氯元素常见的化合价有-1、+1、+3、+5、十7,下面五种物质都是含氯元素的酸。

 HC1O4(高氯酸)、______(氯酸)、HC1O2(亚氯酸)、HC1O(次氯酸)、______(氢氯酸)

(2)有机化合物里有一类物质叫烷烃,分子中碳、氢原子个数呈一定的规律。

 CH4(甲烷)、C2 H6(乙烷)、C3H6(丙烷)C4H10(  )、  (戊烷)……

试题详情


同步练习册答案