0  140345  140353  140359  140363  140369  140371  140375  140381  140383  140389  140395  140399  140401  140405  140411  140413  140419  140423  140425  140429  140431  140435  140437  140439  140440  140441  140443  140444  140445  140447  140449  140453  140455  140459  140461  140465  140471  140473  140479  140483  140485  140489  140495  140501  140503  140509  140513  140515  140521  140525  140531  140539  447090 

37. (5分)正确连接如下图所示的装置进行实验,可以验证mg某混合气体的成分是CO2 、H2O和CO,并粗略测出每种气体的质量(每套装置限用一次)。

 

请回答下列问题:

(1)连接导管口(①-⑩)顺序:混合气体→             →尾气处理。

(2)证明原混合气体中CO存在的实验现象是          ;证明CO存在的有关反应的化学方程式是                     

(3)欲粗略测得二氧化碳的质量应进行的操作是                  

试题详情

36. (7分)请结合下列装置图回答问题:

(1)写出a仪器的名称           

  (2)实验室用高锰酸钾制取氧气的发生装置是    ,反应得化学方程式为     

     

(3)实验室用B装置作为发生装置,并用图C的方法进行验满的气体是        

       ,实验室制取该气体的化学方程式为                  

(4)试管是初中化学实验室中最常见的仪器,在不同的化学实验中试管口的朝向各不相同,如下图所示:

请仿照示例从图中另选一种试管口朝向,并具体说明其在化学实验中的应用。

示例:图①的试管口略向下倾斜,应用在给固体药品加热的实验中。

举例:                             

(5)结合实验室制备气体的发生装置,请你分析在制备气体的实验中,试管口的朝向是根据                     来确定的。

试题详情

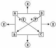
35. (5分)A、B、C、D、X、Y都是初中化学常见的物质, A、C、X均由两种元素组成, B、D、Y由三种元素组成。(图中“-”表示两端的物质能反应,“→”表示物质间存在转化关系,部分生成物已略去).

(1)写出下列物质的化学式:A      ; D       ;  Y       

(2)A→C所属反应类型为:                

(3)写出D→B的化学方程式:                 

试题详情

33.(7分)在化学中,归纳、总结、分析、推理、实验是常用的方法。请回答下列问题:

(1)物质的分类标准有多种, 请依据物质所具有的某种性质,对碳、氢气、氧气、水、一氧化碳、二氧化硫、二氧化氮等物质进行分类,每类写出三种物质的化学式及其对应性质。

示例:分类标准一:按密度分,其中O2、SO2、NO2密度比空气大。

分类标准二:               ,其中                 

分类标准三:               ,其中                 

(2)许多同学发现一些建筑物外墙的石灰石正不断剥蚀。请根据这一情况,分析石灰石不断剥蚀的原因。

①你假设产生这一现象的原因是什么?                     

②你作出上述假设的根据是什么?                       

③为了减少上述现象的发生,你的建议是                      。34.(4分)从HCl、NaCl、NaOH、Na2CO3、Ca(OH)2几种溶液中,每次取出两种混合。

(1)若混合后溶液质量减小,则全部可能的组合为:_____________________      

(2)若混合后溶液质量不变,但发生了化学反应,有关的化学方程式为:

_____________________   _、________________ ______       _________。

(3)若混合后无明显现象,但滴入稀硫酸后,产生的气体与加入稀硫酸的量有如图所示的关系,则这样的组合是____________________。

试题详情

32.(5分)(1)2008年北京奥运需要大量材料。下列应用中使用了金属材料的是

        (填序号),使用了有机合成材料的是         (填序号)。

(2)“水立方”(Water Cube)是本届奥运会的主游泳馆。为确保“水立方”的水质达到国际泳联最新卫生标准,泳池的水将采用砂滤--臭氧--活性炭净水工艺,其中砂滤的作用是

      ,利用活性炭净水是利用活性炭的        性。

(3)“鸟巢”是使用钢铁建造的主体育场,为了防止钢铁结构受到腐蚀,对所用钢铁采取的措施是                        

试题详情

31. (5分)下图a是两种元素在元素周期表中的信息,下图b是氟原子的原子结构示意图。

 

(1)图a方框的横线上填的是       ;图b方框横线上的数字是      

(2)请将“元素”、“原子”、“分子”填入图c适当的圆圈内,从而完成元素、原子、分子与物质之间的正确的关系图。

试题详情

30.下列图像不能正确反映其对应操作的是                                  

A
B
C
D




在一定量的CuSO4溶液中逐滴加入NaOH溶液
等质量的Zn和Mg分别与足量等体积等质量分数的稀硫酸反应
向NaOH溶液中逐滴加入稀盐酸
等质量CaCO3分别
与足量等体积等质量分数的稀盐酸反应

第Ⅱ卷  (非选择题  共50分)

试题详情

29.下表中“­-”表示相连的物质间能发生反应,“→”表示这种物质可转化为另一种物质。甲、乙、丙、丁四种物质符合对应“转化关系”的是

      
A
B
C
D
转化关系 
               



物质 
甲 
CO
Na2CO3
Ca(OH)2
Fe
乙 
O2
Ca(OH)2
HCl
HCl
丙 
Fe2O3
Cu
CO2
CuCl2
丁 
CO2
H2SO4
NaOH
NaOH

试题详情

28.由Mg(OH)2和MgO组成的混合物,测得其中含镁元素的质量分数为48%,取该混合物10g,将其投入适量的稀硫酸中恰好完全反应,所得溶液中溶质的质量为

    A.12g             B.24g             C.36g             D.48g

试题详情

27. 在CuO和Fe的混合物中,加入一定量的稀H2SO4并微热。当反应停止后,滤出不溶物,再向滤液中放入一粗铁丝,片刻后取出铁丝,发现粗铁丝无任何变化。据此,你认为下列结论正确的是(提示CuO+H2SO4=CuSO4+H2O)

A.不溶物一定是铜

B.不溶物中一定含有铜,也可能含有铁

C.滤液中一定含有H2SO4,也可能含有CuSO4

D.滤液中一定含有FeSO4,也可能含有CuSO4 和H2SO4

试题详情


同步练习册答案