0  140389  140397  140403  140407  140413  140415  140419  140425  140427  140433  140439  140443  140445  140449  140455  140457  140463  140467  140469  140473  140475  140479  140481  140483  140484  140485  140487  140488  140489  140491  140493  140497  140499  140503  140505  140509  140515  140517  140523  140527  140529  140533  140539  140545  140547  140553  140557  140559  140565  140569  140575  140583  447090 

23.(13分)小明通过有关资料得知在宇宙飞船上可以安装盛有Na2O2(过氧化钠)的装置,它的作用是与人呼出的二氧化碳反应生成氧气。于是他进行以下的探究活动:

(1)他用下图装置制取并收集一瓶氧气,为检验收集到的氧气中是否含有二氧化碳,他应向集气瓶中滴入      ,振荡,发现        ,证明他收集到的氧气中还含有CO2。为使他能收集到一瓶较为纯净的氧气,你认为他应在甲、乙装置中间再连接以下的哪个装置?    

(2)进一步探究反应后玻璃管中剩余白色固体的成分。

[进行猜想]提出两个猜想:猜想①:白色固体含有过氧化钠;猜想②:白色固体含碳酸钠。

[查阅资料]过氧化钠为白色粉末,溶于水生成氢氧化钠和氧气。

[实验探究]下面是对白色固体进行实验探究的实验报告,请填写表中空白。

实验目的
操作方法
实验现象
实验结论
检验白色固体是否含有过氧化钠。
1、取该少量白色固体于试管里,加入适量的水;
2、用带火星的木条放在试管口。
 
1、        
2、         
白色固体加入水后有    生成,白色固体含过氧化钠。
      
     
取该少量白色固体于试管里,向试管中滴        
         
         
白色物质中含有碳酸钠。

[实验反思]①过氧化钠与二氧化碳反应的化学方程式是:     

②过氧化钠常用于潜水艇、宇宙飞船上制取氧气的优点是(答2点)         

试题详情

22.(14分)某化学兴趣小组根据下图所示装置进行实验室制取气体的探究。

回答下列问题:

(1)写出图中编号仪器名称:a       ,b      ;在实验时,若发现酒精灯里有足够的酒精,却不能点燃,其可能原因是         

(2)用高锰酸钾制氧气的化学方程式为               ,用C和D装置进行实验时,发现水槽中的水变成紫红色,原因是      

(3)若用石灰石和稀盐酸制取和收集干燥的二氧化碳,应选择的装置组合     (填字母),制取二氧化碳的化学方程式为                       

(4)下图装置可用来测量生成的CO2气体的体积,其中在水面上放一层植物油的目的是               ,植物油上方原有的空气对实验的结果      (填“有”或“没有”)明显影响。

(5)由(2)(3)可得出:C装置适合于         反应制取气体的实验,A、B装置适合于         反应制取气体的实验。(填序号)

①   固体   ②固体和固体加热    ③固体和液体不需加热

试题详情

21.(8分)镁是一种用途很广的金属材料,目前世界上60%的镁从海水中提取。主要步骤如下:

 (1)为了使MgCl2转化为Mg(OH)2,试剂①可以选用     ,要使MgCl2完全转化为沉淀,加入试剂①过量,验证加入试剂①过量的方法是     

(2)加入试剂①后,能够分离得到Mg(OH)2沉淀的方法是    

(3)试剂②可以选用    ,发生反应的化学方程式是        

(4)无水MgCl2在熔融状态下,通电后会产生Mg和Cl2,写出该反应的化学方程式        。

试题详情

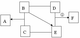
20.(10分)A、B、C、D、E、F是常见的酸、碱、盐、氧化物中的一种,其中A、B是建筑材料,F是厨房中的调味品,他们间有如下图的关系(“--”表示物质在一定条件下可以发生反应,“ →”表示物质间在一定条件下可以相互转化,反应条件和部分生成物省略)。回答下列问题:

(1)写出下列物质的化学式:

A      C       D      F      

(2)写出下列反应的化学方程式:

①C+E         ,②B→E         

(3)转化①反应的基本类型是      ,又叫     反应。

试题详情

19.(6分)请根据下面碳循环图回答以下问题:

(1)大量排放CO2会造成的后果是     

(2)天然气燃烧化学方程式为:     

(3)从图中可知植物和      会吸收CO2,植物通过光合作用吸收CO2放出氧气的化学方程式为:6CO2+6H2O X+6O2,那么X为    

(4)请你写出一条减少二氧化碳排放的措施     

试题详情

18.(6分)金属钛(Ti)是21世纪最重要的金属之一。某化学兴趣小组的同学为探究铝、铜、钛的金属活动顺序,做了如下实验:①先用砂布将金属表面擦光亮。②将大小、厚薄相同的三种金属片分别放入到盛有相同体积的同种盐酸的试管中,观察到的现象如下:

金属



与盐酸反应的现象
放出气泡缓慢
放出气泡快
无现象

(1)依据上表现象推断三种金属的活动性顺序从强到弱为:        ,把金属钛放在硫酸铜溶液中能否发生反应?    (填“能”或“不能”);

(2)根据三种金属的性质和用途回答:①建筑常用铝合金做门窗,原因是   

         (答2点);②把钛或钛合金放在海水中数年,取出后仍光亮如新,这说明金属钛具有很强的       性。

试题详情

17.(6分)已知下图为氢、钠、氧、硫四种元素的原子结构示意图,回答下列问题:

   

  (1)x=__________,y=__________;

(2)以上属于金属元素的原子的是      (填元素符号);

(3)氧原子在化学反应中失去电子后形成的离子的符号是    

(4)以上四种元素中,化学性质相似的是       (填序号);

(5)写出一种由以上三种元素形成的化合物的化学式____ _____。

试题详情

16.(3分)下图是一瓶开启后的“XX牌”碳酸饮料的示意图。据图回答下列问题:

(1)饮料成分中属于氧化物的是  (选填一种物质编号);

(2)开启时,大量的气泡从罐内冒出,该现象说明    

的减小使气体的溶解度减小;

(3)开启后可以闻到香味,请用分子、原子的观点解释该现:   

试题详情

15.(3分)有①维生素C、②蛋白质、③生石灰、④尿素、⑤硝酸钾、⑥铁粉六种物质中,可用来做食品“双吸剂”(即能除去水蒸气和氧气)的是    ;属于复合肥料的是________;水果、蔬菜富含的营养素是_________(本题填序号)。

试题详情

14.探究小组利用下图装置进行四组实验,胶头滴管盛装的是液体,集气瓶中盛装的是气体、固体或液体,当胶头滴管滴几滴液体后,能观察到气球变大的实验组合是

              

试题详情


同步练习册答案