0  194507  194515  194521  194525  194531  194533  194537  194543  194545  194551  194557  194561  194563  194567  194573  194575  194581  194585  194587  194591  194593  194597  194599  194601  194602  194603  194605  194606  194607  194609  194611  194615  194617  194621  194623  194627  194633  194635  194641  194645  194647  194651  194657  194663  194665  194671  194675  194677  194683  194687  194693  194701  447090 

9.现在,由墨西哥始发的甲型H1N1流感已经全球蔓延,该流感主要是以感染者的咳嗽和喷嚏为媒介迅速传播,这一现象说明分子             

试题详情

8.如图5所示,同一物体浸在甲液体中悬浮,浸在乙液体中漂浮。比较物体在两种液体中所受浮力FF的大小及两种液体的密度ρρ的大小,则下列判断正确的是  (   )

A.F= Fρ= ρ      B.F= Fρρ

C.FFρ= ρ      D.FFρρ

试题详情

7.如图4所示,甲、乙两个实心均匀正方体静止的放在水平地面上,它们对地面的压强相同,则下列判断正确的是  (   )

A.甲的密度大,甲受到的重力大    B.甲的密度小,甲受到的重力小

C.甲的密度大,甲受到的重力小    D.甲的密度小,甲受到的重力大

 

试题详情

6.如图3所示,用滑轮组A匀速提升一个钩码,相同的滑轮组B匀速提升两个钩码(已知每个钩码质量相同,且不计绳重和摩擦力),则下列说法中正确的是   (   )

A.

B.

C.

D.

试题详情

5.如图2所示,在一均匀轻质杠杆的A处挂2个钩码,B处挂1个钩码,已知每个钩码的质量为50g,此时杠杆恰好水平平衡,若在A、B两处再各加挂一个50 g的钩码,则 (   )

A.杠杆仍平衡    B.杠杆左边下倾

C.杠杆右边下倾    D.无法确定杠杆是否平衡

试题详情

4.如图1所示,小明把放在课桌边上的课本水平推到课桌中央,他对该过程提出了以下猜想。你认为正确的是  (   )

A.课本受到的支持力对它做了功      B.课本的重力对它做了功

C.课本受到的推力F对它做了功      D.在此过程中没有力对课本做功

图2
 
图1
 
 

试题详情

3.现在许多商店和宾馆都安装了弹簧门,弹簧门在被推开后能自动关闭。关于门在自动关闭过程中能的转化的说法中,正确的是  (   )

A.弹簧的动能转化为门的势能      B.弹簧的弹性势能转化为门的动能

C.门的势能转化为弹簧的动能      D.门的动能转化为弹簧的弹性势能

试题详情

2.下列现象不能用微观领域的知识来解释的是  (   )

A.打扫教室时,会看到尘土飞扬

B.50mL水和50mL酒精混合后,总体积小于100mL

C.炒菜时锅内放些盐,整锅菜都有了咸味

D.荷叶上的两滴露珠能汇成一大滴水珠

试题详情

1.一同学把掉在地面上的物理课本捡起放回桌面上。根据你对物理课本重力和课桌高度的估测,该同学捡起课本时手对书做的功约为  (   )

A.300J       B.30J          C.3J        D.0.3J

试题详情

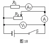
27.在如图18所示的电路中,R2为0-50Ω的变阻器,合上开关

后,V1的示数为6V,A表的示数为2A,A1的示数为0.5A.求:

(1)电阻R1的阻值;

(2)变阻器R2连入电路部分的阻值;

(3)如果A表的量程为0-3A,A1表的量程为0-0.6A,为了不使电表损坏,变阻器连入电路的阻值应在什么范围内?

2005-2006学年第二学期期末考试

试题详情


同步练习册答案