0  205882  205890  205896  205900  205906  205908  205912  205918  205920  205926  205932  205936  205938  205942  205948  205950  205956  205960  205962  205966  205968  205972  205974  205976  205977  205978  205980  205981  205982  205984  205986  205990  205992  205996  205998  206002  206008  206010  206016  206020  206022  206026  206032  206038  206040  206046  206050  206052  206058  206062  206068  206076  447090 

2.初步体会解二元一次方程组的基本思想――“消元”.

试题详情

1.会用代入法解二元一次方程组.

试题详情

8.2消元(一)

教学目标:

试题详情

消元(二)
加减消元的概念
例题
加减消元的步骤
代入消元与加减消元

试题详情

引导学生总结出加减消元法的解题思想与步骤,总结出在什么情况下用代入消元还是加减消元法。

试题详情

加减法和代入法是二元一次方程组的两种解法,它们都是通过消元使方程组转化为一元一次方程,只是消元的方法不同。应根据方程组得具体情况选择更适合它的解法。你会怎样解下面的方程组?

选择你认为最简单的方法解习题8。1中第4题(“鸡兔同笼”)问题。

试题详情

上面解方程组的过程可以用下面的框图表示:

这个框图以用加减法解一个具体的二元一次方程组的过程为例,展示了加减法的解题步骤,以及各步骤的作用。它可以作为加减法解二元一次方程组的一般步骤的典型。

试题详情

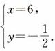
例3  用加减法解方程组

分析:这两个方程中没有同一个未知数的系数相反或相同,直接加减两个方程不能消元。试一试,能否对方程变形,使得两个方程中某个未知数的系数相反或相同。

解:①×3,得

9x+12y=48           ③

②×2,得

10x-12y=66           ④

③+④得

19x=114

x=6

把x=6代入①,得

3×6+4y=16

4y=-2

y=

所以,这个方程组的解是

例3中两方程中同一未知数的系数不相等也不相反,所以不能通过直接加减来消元。为消元需要在方程两边乘适当的数,使某个未知数在两方程中的系数相等或相反。

思考

本题如果用加减法消去x应如何解?解得的结果与上面一样吗?

如果要先消x,可以①× 5-②× 3,解方程组时先消哪个未知数都可以,结果是确定的,不会因先消哪个未知数而产生变化。一般地说,先消哪个未知数简便就先消它。例3中,消x,y的运算程度基本相同,不存在先消哪个未知数更简便的情况。

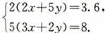
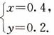
例4  2台大收割机和5台小收割机工作2小时收割小麦3。6公顷,3台大收割机和2台小收割机工作5小时收割小麦8公顷,1台大收割机和1台小收割机1小时各收割小麦多少公顷?

分析:如果1台大收割机和1台小收割机每小时各收割小麦x公顷和y公顷,那么2台大收割机和5台小收割机l小时收割小麦______[2]公顷,3台大收割机和2台小收割机1小时收割小麦_____[3]公顷,  由此进一步考虑两种情况下的工作量。

解:设1台大收割机和1台小收割机l小时各收割小麦x公顷和y公顷。

根据两种工作方式中的相等关系,得方程组

去括号,得

②-①,得

11x=4.4。

解这个方程,得

x=0.4。

把x=0.4代入①,得

y=0.2。

这个方程组的解是

答:1台大收割机和l台小收割机1小时各收割小麦0.4公顷和0.2公顷。

试题详情

我们知道,可以用代入消元法解方程组

观察

这个方程组的两个方程中,y的系数有什么关系?利用这种关系你能发现新的消元方法吗?

这两个方程中未知数y的系数相同,②-①可消去未知数y,得x=18。

把x=18代入①,得y=4。

思考

联系上面的解法,想一想应怎样解方程组

归纳

两个二元一次方程中同一未知数的系数相反或相等时,将两个方程的两边分别相加或相减,就能消去这个未知数,得到一个一元一次方程,这种方法叫做加减消元法,简称加减法。

这是对加减法的基本步骤的概括,加减法通过两个方程相加或相减实现消元。两方程相加减前应先使要消去的未知数的系数相等或相反,为此需要根据是等式的性质(等式两边乘除相等的量,结果仍相等)先进行必要的方程变形。

试题详情

消元(一)
代入消元法的概念
例题
解题步骤

第2课时

试题详情


同步练习册答案