0  208886  208894  208900  208904  208910  208912  208916  208922  208924  208930  208936  208940  208942  208946  208952  208954  208960  208964  208966  208970  208972  208976  208978  208980  208981  208982  208984  208985  208986  208988  208990  208994  208996  209000  209002  209006  209012  209014  209020  209024  209026  209030  209036  209042  209044  209050  209054  209056  209062  209066  209072  209080  447090 

3. -a-6

试题详情

 

 2.-27的立方根=                  .

 

 

 

 

 

、选择题(每题4分,共20分)

15.下列式子成立的是(    ).

17.下列计算正确的是(    ).

 

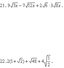
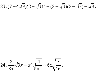
三、计算题(各小题6分,共30分)

 

 

 

 

 

 

 

 

 

 

 

 

 

 

 

 

 

 

 

 

 

 

 

 

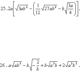
四、化简求值(各小题8分,共16分)

 

 

 

五、解答题(各小题8分,共24分)

 

 

 

 

 

 

二次根式(B卷)答案

2. -3

试题详情

30. 1.80

试题详情

23. 24

试题详情

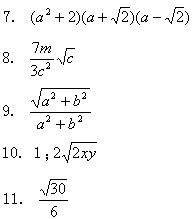
15. B  16. A  17. D  18. A  19. A  20. D

试题详情

13. x≤4

试题详情

12. -x-y

试题详情

6. m≥1

试题详情


同步练习册答案