0  208884  208892  208898  208902  208908  208910  208914  208920  208922  208928  208934  208938  208940  208944  208950  208952  208958  208962  208964  208968  208970  208974  208976  208978  208979  208980  208982  208983  208984  208986  208988  208992  208994  208998  209000  209004  209010  209012  209018  209022  209024  209028  209034  209040  209042  209048  209052  209054  209060  209064  209070  209078  447090 

1.4的平方根是_____________.

试题详情

例6.方程的根是( )

A.    B.    C.    D.

错解:方程两边同除以,得.选A.

剖析:错解中,方程两边同除以因式,忽视了因式的情况,不属于同解变形,违背了等式的性质,造成漏解.因为方程是一元二次方程,因此若有解,则有两个解.因此正确答案选C.

相信同学们会结合以上错解剖析,“对症下药”在自己解决与一元二次方程有关的问题时,避免这些错误的发生,更好的正确的解题.

试题详情

例5.已知关于的方程的两个实数根的平方和等于,求实数的值.

错解:设方程的两根为,由根与系数的关系得,          .又,即,          ∴,即, ∴

剖析:一元二次方程的根与系数的关系是以判别式为前提,才能确保一元二次方程有两个实数根.错解中忽略了原方程有两根的条件,未将求出的的值代入判别式中检验而造成错误.当时,,不符合题意舍去.当,∴的值为.因此要注意,要由来判断一元二次方程的解.

试题详情

例4.已知关于的方程有两个不相等的实数根,求的取值范围.

错解:∵关于的方程有两个不相等的实数根,∴,得

诊治:此题注意到信息“关于的方程有两个不相等的实数根”,进而直接得到,得;但却忽视了隐含条件二次根式的被开方数是非负数,即,故而出错.所以的取值范围是.因此,再解一元二次方程有关问题时,特别注意的判别式的确定.

试题详情

例3.已知关于的方程有解,那么的取值范围是( )

A.    B.    C.    D.

错解:由于方程,∴此方程为一元二次方程,故,且,得

剖析:错解中忽视了“关于的方程有解”中的关键词“关于的方程”(未指明方程的类型);关键词“有解”(不能来判断该方程是一元二次方程).因此,此方程有两种可能:若方程为一元二次方程,则“有解”与“有两个实数根”是等同的,则;若方程为一元一次方程,则,解得,即解也符合题意.所以本题的正确答案是.因此要注意题中信息所包含的隐含条件.

试题详情

例2.已知关于的方程有两个不相等的实数根,求的取值范围.

错解:根据题意,得,解得.∴当时,方程有两个不相等的实数根.

剖析:注意已知条件中的“关键词”方程有两个不相等的实数根,显然此方程必为一元二次方程,所以二次项系数.因此错解中漏掉了,故而正确答案为,且.因此解题要注意题中的关键词.

试题详情

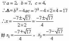
例1 用公式法解方程

错解:

剖析:错解中没有将方程化成“一般形式”,造成系数中常数项的错误.应该先移项得到,则.进一步用求根公式:,即

试题详情

⑴  若方程有两个相等的实数根,求的值,并求出此时方程的根(6分)

⑵  是否存在正数,使方程的两个实数根的平方和等于224 ?若存在,求出满足条件的的值; 若不存在,请说明理由。(6分)

试题详情

②当取什么值时,方程有两个相等的实数根?③当取什么值时,方程没有实数根?(9分)

试题详情

(直接开平方法)②(用配方法)③(用因式分解法)

④.     ⑤       ⑥. 

⑦.       ⑧.x-2)(x-5)=-2

试题详情


同步练习册答案