0  245054  245062  245068  245072  245078  245080  245084  245090  245092  245098  245104  245108  245110  245114  245120  245122  245128  245132  245134  245138  245140  245144  245146  245148  245149  245150  245152  245153  245154  245156  245158  245162  245164  245168  245170  245174  245180  245182  245188  245192  245194  245198  245204  245210  245212  245218  245222  245224  245230  245234  245240  245248  447090 

11.在△ABC中,角ABC所对的边分别为abc,若a=5,b=7,cosC= ,则角A的大小为      

试题详情

10.若等差数列{an}的前n项和为Sna8=2a3,则 的值是     

试题详情

9.以椭圆C的短轴为直径的圆经过该椭圆的焦点,则椭圆C的离心率为     

试题详情

8.如图,某几何体的主视图、左视图、俯视图均为腰长为2cm的等腰直角三角形,则这个

  几何体的体积为      cm3

试题详情

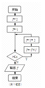
7.根据如图所示的算法流程图,输出的结果T      

 

试题详情

6.设a∈{-1,0,1,3},b∈{-2,4},则以(ab)为坐标的点落在第四象限的概率为

      

试题详情

  级应被抽取的学生数为      

5.如果lg m+lg n=0,那么m+n的最小值是      

试题详情

4.为了解某校高中学生的视力情况,对该校学生按年级进行分层抽样调查,已知该校高一、

试题详情

3.函数y= sin2x- cos2x的最小正周期是     

试题详情

2.计算: =       

试题详情


同步练习册答案