0  248233  248241  248247  248251  248257  248259  248263  248269  248271  248277  248283  248287  248289  248293  248299  248301  248307  248311  248313  248317  248319  248323  248325  248327  248328  248329  248331  248332  248333  248335  248337  248341  248343  248347  248349  248353  248359  248361  248367  248371  248373  248377  248383  248389  248391  248397  248401  248403  248409  248413  248419  248427  447090 

7.丁烷裂解时可有两种方式断裂,生成两种烷烃和两种烯烃。如果丁烷裂解率为90%,又知裂解生成的两种烯烃的质量相等,那么裂解后所得到的混合气体中,分子量最小的气体占有的体积为分数为(  )

A、19%     B、25%     C、36%      D、40%

试题详情

6.如果定义有机物的同系列是一系列的结构式符合A [W]nB(其  

中n=0,1,2,3…)的化合物)。式中A、B是任意一种基团(或氢原子),W为2价的有机基团,又称为该同系列的系差。同系列化合物的性质往往呈现规律性的变化。下列四种化合物中,不可称为同系列的是(1994年全国高考题)

A.CH3CH2CH2CH3  CH3CH2CH2CH2CH3  CH3CH2CH2CH2CH2CH3

B.CH3CH=CHCHO  CH3CH=CHCH=CHCHO  CH3(CH=CH)3CHO

C.CH3CH2CH3  CH3CHClCH2CH3  CH3CHClCH2CHClCH3

D.ClCH2CHClCCl3、ClCH2CHClCH2CHClCCl3

ClCH2CHClCH2CHClCH2CHClCCl3

试题详情

5.棱晶烷键线式如右图所示,它的四氯取代物的同分异构体的种数是

A.1     B.2      C.3      D.4

试题详情

4.从理论上分析,碳原子数为10或小于10的烷烃分子中,其一卤代烷不存在同分异构体的烷烃分子的种数是

A.3     B.4      C.5       D.6

试题详情

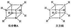
3.已知化合物A(C4Si4H8)与立方烷(C8H8)的分子结构相似,如下图:则C4Si4H8的二

氯代物的同分异构体数目为C

A、6        B、5        C、4        D、3

试题详情

2.断裂一个给定的键时所消耗的能量称为离解能,根据下列烷烃的C-H键的离解能

下列判断不正确的是

A.异丁烷与氯气发生取代反应,占一氯代物的物质的量分数大于10%

B.在光照条件下丙烷与氯气发生取代反应CH3CH2CH2Cl与CH3CHClCH3物质的量之比为1∶1。

C.离解能愈小,C-H键易断裂,氢原子越易被取代。

D.C2H6中C-H的离解能介于410.0kJ/mol-435.1kJ/mol。

试题详情

1.有一类组成最简单的有机硅化合物叫硅烷,它的分子组成与烷烃相似。下列有关说法中错误的是

A.硅烷的分子通式可表示为SinH2n+2       B.甲硅烷燃烧生成二氧化硅和水

C.甲硅烷(SiH4)相同条件下的密度小于甲烷(CH4)  D.甲硅烷的热稳定性强于甲烷

试题详情

20.(10分)分别写出下列烷烃

名称:

(1)                 (2)                  。 

                烷   烃  (专项训练提高题)

试题详情

19.(5分)下列结构简式代表

了____种不同的烷烃。

试题详情

18.(15分)下列各组物质 ① O2和O3  ② H2、D2、T2   ③ 12C和14C

④ CH3CH2CH2CH3 和 (CH3)2CH2CH3  ⑤乙烷和丁烷

   ⑥ CH3CH2CH2CH(C2H5)CH3 和 CH3CH2CH2CH(CH3)C2H5

  互为同系物的是__________,  互为同分异构体的是_____________

  互为同位素的是_____  _,  互为同素异形体的是__________,是同一物质的是_______。

试题详情


同步练习册答案