0  248192  248200  248206  248210  248216  248218  248222  248228  248230  248236  248242  248246  248248  248252  248258  248260  248266  248270  248272  248276  248278  248282  248284  248286  248287  248288  248290  248291  248292  248294  248296  248300  248302  248306  248308  248312  248318  248320  248326  248330  248332  248336  248342  248348  248350  248356  248360  248362  248368  248372  248378  248386  447090 

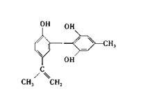
8.我国支持“人文奥运”的一个重要体现是坚决反对运动员服用兴奋剂。某种兴奋剂的结构简式如下图所示,有关该物质的说法正确的是            (  )

   A.该分子中的所有碳原子不可能共平面

   B.滴入酸性KMnO4溶液,观察紫色褪去,能证明

    结构中存在碳碳双键

   C.1mol该物质分别与浓溴水和H2反应,最多消耗

    Br2和H2的物质的量分别为4mol、7mol

   D.遇FeCl3溶液呈紫色,因为该物质与苯酚属于同

    系物

试题详情

7.霉酚酸酯(MMF)是器官移植中抑制细胞增殖最常用的药物。下列关于MMF的说法正确的是(  )

                     

A.MMF能溶于水

B.MMF能发生取代反应和消去反应

C.1molMMF能与6mol氢气发生加成反应

D.1molMMF能与含3molNaOH溶液完全反应

试题详情

6.“秦诺林”是治疗感冒发烧的一种药物。其主要成份的结构简式如下:

HO-    -NH-COCH3

下列关于该物质的描述不正确的是                    (  )

   A.该化合物分子式为C8H9O2N      B.能和银氨溶液发生银镜反应

   C.能和氢氧化钠溶液发生反应     D.其分子中的原子可能都在同一平面上

试题详情

5.在一定条件下,下列药物的主要成分都能发生①取代反应;②加成反应;③水解反应;④中和反应这种反应的是                     (  )

   A.维生素              B.阿斯匹林

   C.芬必得              D.扑热息痛

试题详情

4.维生素C的结构简式为              ,有关它的叙述错误的是(  )           

   A.是一个环状的酯类化合物      B.易起氧化及加成反应

   C.可以溶解于水           D.在碱性溶液中能稳定地存在

试题详情

3.“魔棒”常被用于晚会现场气氛的渲染。其发光原理是利用H2O2氧化草酸二酯产生能量,该能量被传递给荧光物质后便发出荧光,草酸二酯(CPPO)结构简式为: 

       

下列有关说法不正确的是                        (  )

A.草酸二酯属于芳香族化合物    B.草酸二酯的分子式为C26H24O8Cl6

C.草酸二酯难溶于水        D.1 mol草酸二酯最多可与4molNaOH反应

试题详情

2.2002年9月份北京发生大范围病毒性感冒,速效感冒胶囊的主要成分之一是对乙酰氨基苯酚,其结构简式为:,下列有关它的分析错误的是     

A.能溶于热水中  B.1mol对乙酰氨基苯酚与溴水发生取代反应时最多消耗4mol Br2单质

C. 能在人体内发生水解反应    D.  对乙酰氨基苯酚与对硝基乙苯是同分异构体

试题详情

1.历史上最早应用的还原性染料是靛蓝,其结构简式如图所示,下列关于靛蓝的叙述中错误的是                          (  )

A.靛蓝由碳、氢、氧、氮四种元素组成   B.它的分子式是C16H10N2O2

C.该物质是高分子化合物         D.它是不饱和的有机物

试题详情

3、考虑有机物分子中的原子共平面、共直线问题,应以甲烷、乙烯、乙炔、苯等分子为主体,在此基础上考虑连接、旋转等问题(此问题在“分子的空间构型”专题中细述)。

专项训练(A卷)

试题详情

2、能和NaHCO3反应的物质(一般含羧基),一定能和Na 、 NaOH反应;能和NaOH反应的物质(一般有含羧基的物质、含酚羟基的物质),一定能和Na反应;含羧基、酚羟基、醇羟基的有机物都能和Na反应。Br2参与的反应一般包含加成和取代,通常条件下能与Br2发生取代反应的一般含有酚羟基。能发生加成反应的物质一般含有碳碳双键或三键或苯环或醛基。能发生酯化反应的物质一般含有羧基或醇羟基。含碳碳双键或碳碳三键或含醇羟基或含酚羟基或含醛基的物质易发生氧化反应等。

试题详情


同步练习册答案