0  252271  252279  252285  252289  252295  252297  252301  252307  252309  252315  252321  252325  252327  252331  252337  252339  252345  252349  252351  252355  252357  252361  252363  252365  252366  252367  252369  252370  252371  252373  252375  252379  252381  252385  252387  252391  252397  252399  252405  252409  252411  252415  252421  252427  252429  252435  252439  252441  252447  252451  252457  252465  447090 

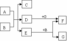
29.(16分)已知:

    请回答:

  (1)A的名称为          ;F的分子式为        

  (2)物质E能发生反应的类型有      (填写字母)。

     a.取代反应  b.消去反应  c.加成反应  d.加聚反应

  (3)C有多种同分异构体,其中苯环上只有一个侧链,且属于酯类的同分异构体的结

构简式                          

  (4)D在热铜丝作用下与O2反应的化学方程式为

                                

  (5)B被酸性KMnO4溶液氧化后得到有机物M,其分子式为C8H6O4,可用作增塑剂。

已知1 mol M能和2 mol NaOH发生中和反应,则M的结构简式为      

试题详情

28.(16分)按要求回答问题。

(1)在实验中有时可以对装置代换使用。右图A装置,当加热时,A制取的一种单质是   ; 当不加热时,A制取的一种单质是   ,一种有机物是  

(2)某同学用该装置进行浓硫酸和碳反应的实验,将产生的气体通入溴水,发现溴水退色,再向反应后的溶液中滴加酸化的氯化钡溶液产生白色沉淀。写出上述过程中发生的有关反应:                         

                                              

(3)某研究小组将吸收CO2后的NaOH溶液小心蒸干,得白色固体。该白色固体经分析发现含有,为了测定x的值,某同学采用如下图装置进行实验:

①B装置的作用是                

②该装置中存在一处明显的缺陷,将影响测定的结果。改进方法是:         

              ,目的是                    

③用改进后的装置进行实验,在试管A中装入的混合物10.26g,用酒精灯加热到反应完全,此时B管增重5.58g,C管增重0.44g,则混合物中     g。

试题详情

27.(14分)右图所示物质转化中,A-G七种物质都由短周期元素组成,其中A是一种强碱,B是黄绿色气体,常温下E为无色无味的液体,F能使有色布条褪色,A、C、D焰色反应均为黄色(反应条件均已省略)。

回答下列问题:

(1)写出下列物质的化学式:  

A      、B      、F     

(2)写出A和B反应的离子方程式                         

(3)B和E作用也可生成F,当向B、E的混合物种中投入少量的CaCO3后,混合物的漂白性将     (填“增强”、“减弱”、“不变”),原因               

(4)已知D的固体和G的浓溶液能反应生成B,写出该反应的化学方程式

                                       

试题详情

26.(14分)现有原子序数之和为51的五种短周期元素A、B、C、D、E。已知A的单质在常温下为无色气体;B原子的最外层电子数比次外层电子数多3个;C和B属于同一主族;D的最高正价和负价的代数和为6,其最高价氧化物对应的水化物的酸性在同主族元素中最强,E元素与A元素同主族。回答下列问题

(1)试写出它们的元素符号:

A.    、B.    、C.    、D.     、E.   

(2)写出B的氢化物的电子式                 

(3)B的气态氢化物与D的气态氢化物互相作用生成的物质属于     晶体。

(4)B、A元素形成的化合物的水溶液呈     (选填“酸性”或“碱性”或“中性”),用离子方程式说明其原因:                          

(5)用碳棒为电极电解D、E元素形成的化合物的水溶液。

    阳极反应为:              

    阴极反应为:              

试题详情

25.(20分)如图示,物体A的质量m1=1kg。B的质量为m2=0.5kg、长L=1m,放在光滑水平面上。某时刻A以v0=4m/s的初速度滑到木板B的上表面,为使A不至于从B上滑落,在A滑上B的同时,给B施加一个水平向右的拉力F,若A与B之间的动摩擦因数μ=0.2,试求拉力F应满足的条件。(忽略物体A的大小)

试题详情

24.(19分)如图示,皮带的倾角α=37°,以v=2m/s的速度顺时针匀速转动,皮带底端到顶端的距离L=7m,将物块(可看作质点)轻放于皮带的底端,物块质量m=10kg,与皮带间动摩擦因素μ=0.8,sin37°=0.6,cos37°=0.8。求:

(1)皮带将物块从底端运送至顶端所用的时间是多少?

(2)此过程皮带对物块做了多少功?

(3)电动机因传送物块做了多少功?

试题详情

23.(16分)发射地球同步卫星时,先将卫星发射至距地面高度为h1的近地圆轨道上,在卫星经过A点时点火,实施变轨,进入远地点为B的椭圆轨道上,最后在B点再次点火,将卫星送入同步轨道,如图所示。已知同步卫星的运动周期为T,地球的半径为R,地球表面重力加速度为g,求:

⑴卫星在近地圆轨道上时的加速度大小;

⑵远地点B距地面的高度。

试题详情

22.实验题:(共17分)

(1)如图所示为一小球做平抛运动的闪光照相照片的一部分,图中背景方格的边长均为5cm.如果取g=10m/s2,那么,(1)闪光频率是_______Hz.(2)小球运动中水平分速度的大小是________m/s.(3)小球经过B点时的速度大小是________m/s.

(2)小车拖着穿过打点计时器的纸带做匀变速直线运动.如图是经打点计时器打出的纸带的一段,计数点序号(按打点顺序计数)是1、2、3、4……,已知交流电的频率为50Hz,纸带上每相邻两个计数点间还有四个打印点。则小车运动的加速度大小是______m/s2,小车做__________(填“匀速”、“匀加速”或“匀减速”).(保留3位有效数字)

试题详情

21.“蹦极”是一项非常刺激的体育运动。某人身系弹性绳自高空P点自由下落,图中a点是弹性绳的原长位置,c是人所到达的最低点,b是人静止悬吊着时的平衡位置,人在从P点下落到最低点c点的过程中(不计绳的的质量和空气阻力),则(   )

   A.人在Pa段做自由落体运动,处于完全失重状态

B.在ab段绳的拉力小于人的重力,人处于失重状态

C.在bc段绳的拉力大于人的重力,人处于超重状态

D.在c点,人的速度为零,处于平衡状态

第Ⅱ卷  非选择题 (174分)

试题详情

20.以下几个原子核反应中,X代表α粒子的反应式是:(   )

A.He+Be→C+X      B.Th→Pa+X

C.H+H→n+X        D.P→Si+X

试题详情


同步练习册答案