0  257577  257585  257591  257595  257601  257603  257607  257613  257615  257621  257627  257631  257633  257637  257643  257645  257651  257655  257657  257661  257663  257667  257669  257671  257672  257673  257675  257676  257677  257679  257681  257685  257687  257691  257693  257697  257703  257705  257711  257715  257717  257721  257727  257733  257735  257741  257745  257747  257753  257757  257763  257771  447090 

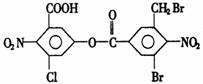
9.已知苯环上由于取代基的影响,使硝基邻位上的卤原子的反应活性增强,现有某有机物的结构简式如右图:1mol该有机物与足量的氢氧化钠溶液混合并共热,充分反应后最多可消耗氢氧化钠的物质的量为a(不考虑硝基与氢氧化钠的反应),则a是(  )

A.5mol             B.6mol  

C.7mol           D.8mol 

试题详情

7、分子式为CnH2n+1OH(n¹1)的醇不能发生消去反应,n的最小值是(  )

  A. 2       B. 3        C. 4        D.5

-Cl
 
8.某有机物的结构简式为,它在一定条件下可能发生的反应是(  )

①加成; ②水解; ③酯化; ④氧化; ⑤中和; ⑥消去; ⑦还原

A.①②③④⑤⑥⑦    B.①③④⑤⑥⑦    C.①②③⑤⑥⑦   D. ②③④⑤⑥⑦

试题详情

6. 下列离子方程式正确的是(   )

A乙酸与碳酸钠溶液反应:2H++CO== CO2↑+H2O

B醋酸溶液与新制氢氧化铜反应: 

CH3COOH+OH -→   CH3COO+H2O

C苯酚钠溶液中通入少量二氧化碳:

2C6H5O+CO2+H2O  2C6H5OH+CO

D甲醛溶液与足量的银氨溶液共热

HCHO+4[Ag(NH3)2]++4OH-CO+2NH+4Ag↓+6NH3+2H2O

试题详情

5.用硫酸酸化的CrO3遇酒精后,其颜色会从红色变为蓝绿色,用这个现象可以测得汽车司机是否酒后开车。反应的方程式为2CrO3 + 3C2H5OH + 3H2SO4 == Cr2(SO4)3 + 3CH3CHO + 6H2O,此反应的氧化剂是 (  )

A 、H2SO4     B、 CrO3     C、Cr2(SO4)3        D 、C2H5OH

试题详情

4.下列化合物的核磁共振氢谱中出现三组峰的是:(  )

A.2,2,3,3一四甲基丁烷          B.2,3,4一三甲基戊烷

C.3,4一二甲基己烷                D.2,5一二甲基己烷

试题详情

3.1体积某气态烃和2体积氯化氢发生加成反应后,最多还能和6体积氯气发生取代反应。由此可以断定原气态烃是(气体体积均在相同条件下测定)(  )          

A.乙炔      B.丙炔      C.丁炔      D.丁二烯

试题详情

2.根据下列物质的名称,就能确认是纯净物的是(   )

A.溴乙烷         B.二溴乙烷       C.已烯        D.淀粉

试题详情

1.化学与生活是紧密相联的,下列关于生活与化学的说法正确的是(  )

A.随着人们生活节奏的加快,方便的小包装食品已被广泛接受,为了防止中秋月饼等富脂食品氧化变质,延长食品的保质期,在包装袋中常放入生石灰

B、苯酚具有杀菌止痛效果,既可用于环境消毒,也可直接用于皮肤消毒

C.福尔马林是一种良好的消毒剂,也可用来消毒自来水

D.保护加酶洗衣粉的洗涤效果,应用温水溶解洗衣粉

试题详情

2.仿写:请仿照下面这个句子,以所给的词语开头,说一段话。

原句:慈悲不是出于勉强,它是像甘霖一样从天上降下尘世;它不但给幸福于受施的人,也同样给幸福于施与的人;它有超乎一切的无上威力,比皇冠更足以显出一个帝王的

高贵:御杖不过象征俗世的威权,使人民对于君上的尊严凛然生畏;慈悲的力量却高出于权力之上,它深藏在帝王的内心,是一种属于上帝的德行。

仿句:善良---------------------------------------------------------------------------。

注意,学生仿写时,不必死套句子形式,主要是学习语言表达的技巧,体会文章的语言之美。

试题详情


同步练习册答案