0  258092  258100  258106  258110  258116  258118  258122  258128  258130  258136  258142  258146  258148  258152  258158  258160  258166  258170  258172  258176  258178  258182  258184  258186  258187  258188  258190  258191  258192  258194  258196  258200  258202  258206  258208  258212  258218  258220  258226  258230  258232  258236  258242  258248  258250  258256  258260  258262  258268  258272  258278  258286  447090 

35.(18分)在质量为的小车上, 竖直固定着一个质量为,高、总电阻匝矩形线圈,且小车与线圈的水平长度相同。现线圈和小车一起在光滑的水平面上运动,速度为,随后穿过与线圈平面垂直,磁感应强度的水平有界匀强磁场,方向垂直纸面向里,如图(1)所示。已知小车运动(包括线圈)的速度随车的位移变化的图象如图(2)所示。求:

(1)小车的水平长度和磁场的宽度

(2)小车的位移时线圈中的电流大小以及此时小车的加速度

(3)在线圈进入磁场的过程中通过线圈某一截面的电量

(4)线圈和小车通过磁场的过程中线圈电阻的发热量

试题详情

34.(18分)如图所示,质量为1kg的物体静置于水平面上,现对物体施以水平方向的恒定拉力,1s末将拉力撤去,物体运动的图象如图所示,试求:

(1)滑动摩擦力的大小;

(2)拉力的大小;

(3)在0~3s内滑动摩擦力做的功。

试题详情

33.(1)(7分)某实验小组想测量木板对木块的摩擦力所做的功.装置如图,一木块放

在粗糙的水平长木板上,右侧栓有一细线,跨过固定在木板边缘的滑轮与重物连接,木块左侧与穿过打点计时器的纸带相连,长木板固定在水平实验台上.实验时,木块在重物牵引下向右运动,重物落地后,木块继续向右做匀减速运动,下图给出了重物落地后打点计时器打出的纸带,系列小黑点是计数点,每相邻两计数点间还有4个点(图中未标出 ),计数点间的距离

如图所示.打点计时器所用交流电频率

为50Hz,不计纸带与木块间的拉力.

  

①可以判断纸带的    (左或右端)与木块连接.根据纸带提供的数据计算打点计时器在打下A点和B点时木块的速度vA = ___________m/s,vB=  ___________ m/s.(结果保留两位有效数字)

   ②要测量在AB段木板对木块的摩擦力所做的功WAB,还需要的实验器材是    ,还应测量的物理量是     .(填入所选实验器材和物理量前的字母)

    A.木板的长度l     B.木块的质量m1     C.木板的质量m2 

 D.重物质量m3     E.木块运动的时间t    F.AB段的距离lAB

 G.天平         H.秒表         J.弹簧秤

(2)(13分)如图甲是“测电池的电动势和内阻”的实验电路,如果采用新电池进行实验,实验时会发现,当滑动变阻器在阻值较大的范围内调节时,①电压表___________(变化大,变化小) 原因是:____________,从而影响测量值的精确性.为了较精确地测量一节新电池的内阻,可用以下给定的器材和一些导线来完成实验,器材:量程3V的理想电压表V,量程0.6A的电流表A(具有一定内阻),定值电阻R0(R0=1.50Ω),滑动变阻器R1(0 ~ 10Ω),滑动变阻器R2(0 ~ 200Ω),开关S

②实验电路原理图如图乙,加接电阻R0有两方面的作用,一是方便实验操作和数据测量,二是________________________________________________.

③为方便实验调节且能较准确地进行测量,滑动变阻器应选用     (填R1 R2).

④用笔画线代替导线在图丙中完成实物连接图.

⑤实验中,改变滑动变阻器的阻值,测出当电流表读数为I1时,电压表读数为U1;当电流表读数为I2时,电压表读数为U2.则新电池内阻的表达式r =       .(用I1I2U1U2R0表示)

试题详情

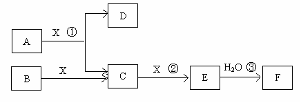
32、(16分)多沙唑嗪盐酸盐是一种用于治疗高血压的药物。多沙唑嗪的合成路线如下:

(1)写出D中两种含氧官能团的名称:     和     。

(2)写出满足下列条件的D的一种同分异构体的结构简式         。

    ①苯的衍生物,且苯环上的一取代产物只有两种;②与Na2CO3溶液反应放出气体;

    ③水解后的产物才能与FeCl3 溶液发生显色反应。

(3)E→F的反应中还可能生成一种有机副产物,该副产物的结构简式为      。

(4)由F制备多沙唑嗪的反应中要加入试剂X(C10H10N3O2Cl),X的结构简式为    。

(5)苯乙酸乙酯是一种常见的合成香料。请设计合理的方案以苯甲醛和乙醇为原料合成

    苯乙酸乙酯(用合成路线流程图表示,并注明反应条件)。

    提示:①R-Br+Na→R-CN+NaBr ;②合成过程中无机试剂任选;

    ③合成路线流程图示例如下:

CH3CH2OH H2C=CH2       BrH2C-CH2Br 

试题详情

31.(15分)下图中A、B均为固体,其中B为单质而且颜色为淡黄色。下图可用于工业生产F。回答下列问题:

(1)A的分子式为               

(2)反应①是一个氧化还原反应,该反应发生时,每生成4mol气体C,转移电子        

mol;

(3)写出D与铝单质反应的化学方程式             

(4)反应②是可逆反应,在2L的密闭容器中投入4molC和3molX,10分钟后反应达到平衡,平衡时混合气体共6mol,则下列说法正确的是     (填写序号字母);

A.工业制取F时,C和X生成E的反应是在吸收塔进行

B.这10分钟内,X的平均反应速率是0.1mol/(L·min)

C.当C和X的消耗速率比为2:1时,标志着反应 达到平衡

D.平衡时C的转化率是50%

E.在工业生产中可以通过增加X浓度来提高C的转化率

F.工业生产中直接用水来吸收E

(5)写出过量气体C与氢氧化钠溶液反应的化学方程式

                          

(6)将5mL0.02mol/L的F溶液与5mL0.02mol/L的NaOH溶液充分混合,若混合后溶液的体积为10mL,则混合液的pH是       

试题详情

28.㈠(18分)第29届奥运会于2008年8月在我国北京举行。我国运动键儿勇夺51块金牌为国家争光。下面分别是一位运动员在一段时间内的血液中所含乳酸浓度(表1)和获胜的三位竞跑运动员所需的大约氧气量(表2)。

表1

时间(分)
0
5
10
15
20
25
30
35
40
45
50
55
60
血液中乳酸浓度mg/cm2
5
5
5
40
70
100
80
60
40
35
25
23
20

表2

赛事(米)
最高速度(km/h)
赛事中吸收的氧气量(升)
赛事中需要的氧气量(升)
100
1500  
10000
37
25
21.5
0.5
18
132
10
36
150

(1)从表1来看,进行运动的时间段为        ;运动员血液中正常的乳酸浓度是      ;人体产生乳酸的场所是      

(2)氧债是指赛事后需要吸入的额外氧气量,以补偿赛事中所缺乏的氧气。从表2来看,人体能累积的最大氧债是       升。

(3)当人体进行剧烈运动时,会产生大量的热量,这时散热的主要方式是蒸发散热。这时的血浆渗透压      ,抗利尿激素分泌     

㈡(18分)用某种绿色植物大小相似的叶片,分组进行实验。首先称量实验前的叶片重量,再置于不同温度下分别暗处理1小时,测其重量变化;立刻再光照l小时(光强度相同),再测其重量变化,得到如下结果:

组别




温度
270C
280C
290C
300C
暗处理后的平均重量变化(mg)
-1
-2
-3
-4
光照后的平均重量变化(mg)
+3
+3
+3
+2

*指与已知实验前的重量进行比较

请回答问题:.

(1)暗处理时,随温度升高,叶片重量的下降程度         ,其原因是        

                                         

(2)光照后,光合作用产生氧气量最多的是第     组叶片。28℃条件下每小时光合作用合成的有机物为             mg。

(3)把绿色植物长期放在黑暗的环境中,植物会失去绿色。某同学为研究叶绿素的形成与光照的关系,设计了下列实验。取黄豆芽20根,随机分成两组,每组10根分别放在两只带有少量水的相同烧杯内,一组放在光下,一组放在黑暗中,两天后放在光下的黄豆芽的子叶变成绿色,黑暗中不变色。若想要据此得出叶绿素的形成需要光的结论,该实验还有哪些不够严密之处?请改正。

                                         

 ②                                          

 ③                                     29.(21分)Ⅰ. 下面a-e是中学化学实验中常见的几种定量仪器:

  a、量筒   b、容量瓶   c、滴定管   d、托盘天平   e、温度计

  ①使用容量瓶的第一步操作是___________________________________。

②若用上述仪器配制500mL 2mol·L1的NaCl溶液,还缺少的玻璃仪器是烧杯和_________。

③若用上述仪器测定中和热,则缺少的玻璃仪器为烧杯、__________。

④若用上述仪器进行中和滴定,则缺少的仪器是__________。

Ⅱ 某化学兴趣小组用含有铝、铁、铜的合金制取纯净的氯化铝溶液、绿矾晶体和胆矾晶体,以探索工业废料的再利用。其实验方案如下:

试回答下列问题:

⑴实验用到的器材已有:滤纸、铁架台、铁圈和烧杯,还要补充的玻璃仪器是:

                

(2)由滤液A制得AlCl3溶液有途径Ⅰ和Ⅱ两条,你认为合理的是    ,理由是

                                   

(3)从滤液E中得到绿矾晶体的实验操作是                  

(4)写出用滤渣F制备胆矾晶体的有关化学方程式               

                                    

(5)有同学提出可将方案中最初溶解合金的烧碱改用盐酸,重新设计方案,也能制得三种物质,你认为后者的方案是否更合理      ,理由是               

                                     。  30、(12分) 某探究小组同学用金属铝分别与稀盐酸或稀硫酸反应的方法研究金属与不同  酸反应的差异及影响反应速率的因素。

  实验药品:2. 0moL/L盐酸、4. 0mol/L盐酸、2 .0mol/L硫酸、4.0mol/L硫酸,相同大小的铝片和铝粉(金属表面氧化膜都已除去);每次实验各种酸的用量均为50. 0mL,金属用量均为9. 0g。

甲同学用铝片分别和稀盐酸、稀硫酸反应,实验及其现象如下:

反应进程(分钟)
1
2
5
15
20
4.0mol/L盐酸
少量气泡
较多气泡
大量气泡
反应剧烈
铝片耗尽
2.0mol/L硫酸
无明显现象
极少量气泡
少量气泡
4.0mol/L硫酸
无明显现象
少量气泡
有比较连续的气泡

请回答:

(])写出铝与盐酸反应的离子方程式____________________________________

(2)反应1一15min内,铝与盐酸的反应速率逐渐加快,其原因是______________________

_______________________________________________________________

(3)根据以上探究“铝与稀盐酸和稀硫酸反应差异的原因”,你能对问题原因作出哪些

假设或猜想(列出一种即可)?_________________________________________________

乙同学设计了如下影响反应速率因素的实验。请你根据实验目的帮助该同学完成以

下实验设计表

实验目的
实验
编号
温度
金属铝
形态
盐酸浓度
/mol·L-1
1. 实验①和②探究盐酸浓度对该反应速率的
影响;
2. 实验①和③探究温度对该反应速率的影响;
3. 实验①和④探究金属规格(铝片,铝粉)对该反应速率的影响;

25˚C
铝片
4. 0

 
 
 

 
 
 

 
 
 

试题详情

27.(15分)将牛奶和姜汁混合,待牛奶凝固便成一种富有广东特色的甜品--姜撞奶。牛奶的凝固是由于奶内的某些蛋白质由可溶的状态转成不溶的状态。为了掌握牛奶凝固所需的条件,某同学将不同温度的等量牛奶混入一些新鲜姜汁中,观察混合物15分钟,看其会否凝固,结果列表如下:

温度(℃)
20
40
60
80
100
 
结果
15分钟后仍未有凝固迹象
14分钟内完全凝固
1分钟内完全凝固
1分钟内完全凝固
15分钟后仍未有凝固迹象

注:用曾煮沸的姜汁重复这项实验,牛奶在任何温度下均未能凝固。

(1)根据以上姜汁使牛奶凝固的结果,描述牛奶温度对凝固速率的影响。        

                                         

(2)你如何解释新鲜姜汁在牛奶凝固过程中所起的作用?               

                                       

(3)如果要探究令牛奶和姜汁混合物凝固的较准确最适温度,应在上面实验中做什么改进?                                         

试题详情

26.(13分) 以下是与高中生物实验有关的内容。

实验名称                   试剂
蛋白质的鉴定实验            铁苏木精或健那绿
观察线粒体                30%蔗糖溶液
质壁分离及复原实验            双缩脲试剂
叶绿体中色素的撮和分离          醋酸洋红溶液
观察植物细胞的有丝分裂           乙醇

 (1)请将下列实验名称与试剂的对应关系用连线表示。每项只准选择一次。

 (2)做“叶绿体中色素的提取和分离”实验时,画滤液细线要注意的事项是    

        ;用大豆组织样液做蛋白质的鉴定实验时,没出现紫色而出现蓝色的原因是           

(3)做“观察植物细胞的有丝分裂”实验时,所看到的细胞主要是处于   期;某同学绘制了细胞分裂期的三个时期模式图,请你在下图方框中画出细胞分裂期中所缺时期的模式图。

试题详情

25.下图是验证楞次定律实验的示意图,竖直放置的线圈固定不动,将磁铁从线圈上方插入或拔出,线圈和电流表构成的闭合回路中就会产生感应电流。各图中分别标出了磁铁的极性、磁铁相对线圈的运动方向以及线圈中产生的感应电流的方向等情况,其中表示正确的是  (   )

         第二卷  非选择题部分

(其中26-28为生物,共64分,29-32为化学,共64分,33-35为物理,共54分)

试题详情

24. 如图所示,AB是某电场中的一条电场线.若有一电子以某一初速度,仅在电场力的作用下,沿ABA运动到B,其速度图象如下右图所示,下列关于A、B两点的电场强度EAEB和电势的判断正确的是:(    )

A.EA>EB     

B.EA<EB

C.     

D.

试题详情


同步练习册答案