0  259969  259977  259983  259987  259993  259995  259999  260005  260007  260013  260019  260023  260025  260029  260035  260037  260043  260047  260049  260053  260055  260059  260061  260063  260064  260065  260067  260068  260069  260071  260073  260077  260079  260083  260085  260089  260095  260097  260103  260107  260109  260113  260119  260125  260127  260133  260137  260139  260145  260149  260155  260163  447090 

5.针对广州等城市举行水价上调听证会,国家发改委认为上调水价符合资源价格改革方向,有利于促进资源节约和环境保护。这体现了

   A.需求影响价格   B.供给影响价格   C.价格影响供给   D.价格影响需求

试题详情

4.2010年11月12日亚运会开幕前,广州将按计划完成投资3500亿元的亚运工程等60个重大建设项目,预计它将带动全社会固定资产投资5000亿元,拉动相关多个行业的发展。这说明          

A.筹办亚运会能拉动内需,促进经济发展

    B.投资是发展经济最好的措施

    C.宏观调控对资源配置起基础性作用

    D.消费反作用于生产,一个消费热点能带动相关产业的发展

试题详情

3.2009年8月4日,国务院新闻办透露:农业人口60岁后可享受国家普惠式养老金,在通过试点完善之后将逐步推开。该政策体现了我国政府                              

    A.注重效率,促进农民致富         

B.注重公平,统筹城乡发展

    C.通过财政再分配,巩固农业基础地位    

D.加强国家宏观调控,改善农村基本条件

试题详情

2.2010年1月1日中国-东盟自由贸易区全面启动,这是发展中国家组成的最大的自由贸易区,将有超过90%的产品实行零关税。该贸易区的建立

   ①有利于推动区域经济朝着均衡、普惠、共赢方向发展  ②将向世界传递反对贸易保护主义的正面信号  为世界多边贸易体制提供了法律和组织基础 ④有利于提高我国开放型经济的发展水平

A.①③     B.①②③     C.①②④     D.①③④

试题详情

1.下图为某商品甲的价格走势图(X轴为时间,Y轴为价格,单位为“元/公斤”)。据此,下列说法正确的有

①从A点到B点,甲商品的替代品的需求量

 会增加

②从A点到B点,甲商品的供给量会减少

③从B点到D点,甲商品的互补品的需求量

会持续下降

④从B点到C点,甲商品的购买者往往会持

币待购

   A.①③     B.②④     C.③④      D.①④

试题详情

34.(12分)果蝇的红眼(W)对白眼(w)为显性,长翅(B)对残翅(b)为显性。现有

 红眼长翅雌果蝇和红眼长翅雄果蝇杂交。子代的雄果蝇中,红眼长翅:红眼残翅:白眼长翅:白眼残翅=3:1:3:1,雌果蝇中红眼长翅:红眼残翅=3:1。

(1)亲本的基因型是                

(2)雄性亲本的一个精原细胞产生精细胞的基因型是               

(3)若对雌性亲本进行测交,后代的表现型有     种。后代与雌性亲本表现型相同的概率是     

(4)果蝇的直毛和非直毛是一对相对性状,基因位于X染色体上。从自然界中获得有繁殖能力的直毛雌、雄果蝇各一只,非直毛雌、雄果蝇各一只。现任意取两只不同性状的雌雄果蝇进行一次杂交,请你根据后代的表现型及比例,确定雌雄亲本中的显性性状。(用文字表达)

试题详情

33.(10分)某小组同学查阅并学习了植物生长素的有关内容:“植物的向重力性是自然界普遍存在的,通常植物幼苗在水平放置时,根向地弯曲生长,表现为正向重力性;茎则背地弯曲生长,表现为负向重力性。植物的向重力性是由于重力引起根、茎器官内生长素分布不均而导致的生长差异。”随后他们提出了问题:“植物的叶是否也有向重力性呢?”由此,该小组同学设计了如下的实验,请你参与其中,回答有关问题:

(1)实验假设:植物叶片具有向重力性

(2)实验材料:葱叶

(3)实验步骤:

①选取葱叶并分组:用剪刀在葱叶的基部剪断,选择直的葱叶。

 A组:葱幼叶

 B组:未成熟叶(介于幼叶与成熟叶之间)

 C组:成熟叶

②固定:将A、B、C叶横放在同一培养皿中,叶基端放在培养皿内,叶尖端放在培养皿外,在叶中部用透明胶将叶固定在培养皿边缘上。

③加水:加清水于培养皿中,叶基浸入水中培养24小时。

(4)分析思考:

①从实验假设和步骤来看,本实验的自变量是什么?        

②由于重力的作用,葱叶的生长素是如何分布的?               ;③上述固定葱叶的培养皿还需做怎样的外部处理,才能保证对变量的控制     

(5)重复实验:重复多次。

(6)实验结果:A组叶片向上弯曲,弯曲程度最大;B组叶片向上弯曲,弯曲程度较A组小;C组叶片几乎不弯曲;

(7)结论:①             。②                 

试题详情

32.(10分)随着人类生活水平的提高,糖尿病、肥胖症、动脉硬化、高血压、脂肪肝等疾病的发病率有上升趋势。这些疾病的发生与人类营养失衡导致体内营养物质代谢紊乱有密切的联系。下图表示人体细胞三大营养物质代谢的关系:

 

请回答:

(1)脂肪分解过程中会产生酮酸,严重时会引起酸中毒。糖尿病病人较易发生酸中毒的

原因是                                 

(2)图中A过程可以发生在肝细胞和肌细胞中,也可以发生在     组织细胞中。

(3)如果人体以蛋白质为主要食物来源时,细胞中多余的氨基酸会发生图中的   

   (填序号)过程。

(4)从人体内物质代谢的角度分析形成肥胖的原因:               ;减肥应采取的正确措施是                        

试题详情

31.(10分)下列示意图分别表示某二倍体雌性动物(2n=4)体内细胞正常分裂过程中不同时期细胞内染色体、染色单体和DNA含量的关系,以及细胞分裂图像。请分析并回答:

 

(1)图1中Ⅲ的数量关系对应于图2中的       

(2)图2中可能具有等位基因的是        

(3)图1中的数量关系由Ⅰ变化为Ⅱ的过程,细胞内在分子水平发生的变化是   

                              

(4)符合图1中Ⅳ所示数量关系的某细胞名称是                 

(5)图1中既能表示有丝分裂过程又能表示减数分裂过程的是      

试题详情

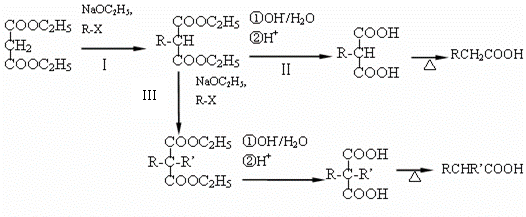
30.(15分)丙二酸二乙酯具有双重α-氢,呈现明显酸性,与卤代烃经下列步骤生成丙二酸类化合物,丙二酸类化合物不稳定,受热脱羧生成相应的一元羧酸:

(1)反应(Ⅰ)属__________反应。(填反应类型)

(2)现取CH3CH2Br,依上述条件及过程可合成相应的稳定的一元羧酸A和B,请写出其结构简式。

   A:_________________________,  B:_______________________________

(3)如需合成稳定的一元羧酸,所需溴代烃的结构简式为_______________,

写出合成时发生的第Ⅲ步反应的化学方程式        

用此溴代烃还能合成稳定的只含有C、H、O三元素的二元羧酸C和D,其中C为链状、D为环状。其结构式分别为:

C:_________________________, D:______________________________。

试题详情


同步练习册答案