0  264780  264788  264794  264798  264804  264806  264810  264816  264818  264824  264830  264834  264836  264840  264846  264848  264854  264858  264860  264864  264866  264870  264872  264874  264875  264876  264878  264879  264880  264882  264884  264888  264890  264894  264896  264900  264906  264908  264914  264918  264920  264924  264930  264936  264938  264944  264948  264950  264956  264960  264966  264974  447090 

21.由于在“基因靶向”技术方面获得重大成果,两位美国科学家和一位英国科学家分享了2007年诺贝尔生理学或医学奖。“基因靶向”是指利用细胞内的DNA可与外源性DNA同源序列发生同源重组的性质,定向改造生物某一基因的技术。下列有关叙述正确的是

   A.基因的外显子和内含子都能翻译成多肽

   B.细胞内所有的基因都要表达,但在表达的时间上各不相同

   C.细胞内的基因在遗传时都遵循孟德尔遗传定律

   D.利用“基因靶向”技术实现DNA重组时需要限制性内切酶

试题详情

20.用细胞工程技术将天竺葵与驱蚊草杂交产生了驱蚊香草,使有驱蚊作用的香茅醛随天竺葵的蒸发作用散发到空气中,达到驱蚊的效果。有关培育过程的叙述错误的是

A.需要用酶解法制备原生质体            B.愈伤组织的代谢类型是自养需氧型

C.克服了远源杂交不亲和的障碍          D.包含了有丝分裂和细胞分化的过程

试题详情

19.下列关于抗体的说法,正确的是

    A.抗体既能作用于细胞外的抗原,也能作用于细胞内的抗原

    B.抗体的化学本质主要是蛋白质、少部分是RNA

    C.人体的抗体指白细胞介素、干扰素等,它能与抗原发生特异性反应

    D.人体的抗体主要分布在血清中,组织液和外分泌液中也有

试题详情

18.器官移植是20世纪医学领域的一项重大突破,其技术核心是用具有正常功能的器官替换已经丧失功能的器官,达到延长病人生命的目的。但异体器官移植手术最大的障碍就是免疫排斥反应,下列关于排斥反应的说法,错误的是

A.排斥反应主要是T细胞作用的结果   

B.发生排斥反应的结构基础是细胞膜具有一定的流动性

C.器官移植后要使用免疫抑制药物    

D.只要供者与受者的主要HLA有一半以上相同,就不会发生排斥反应

试题详情

17.下列有关“S”型曲线的说法,与事实相符合的叙述是

A.该图可表示密闭的恒定容器培养液中酵母菌种群数量增长的变化曲线

B.若该种群为海洋经济鱼类,种群数量最好保持在c的水平

C.ab段种群数量增长速率变慢,其主要原因有天敌、生活空间和资源等

D.该曲线是在理想条件下测得的,人工培养中不会出现这样的曲线

试题详情

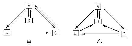
16.生态系统各个组成部分之间不断发生着物质交换,生物体内也在不断地发生着物质交换,下列有关生态系统中的碳循环和人体体液中物质交换的示意图的描述中,正确的是

   A.乙图中的D是生态系统中的主要成分

B.人体内氧气浓度最高的是甲图中的B

C.人体过敏反应时,甲图中的A增加导致组织水肿

D.在因捕食关系建立的食物链中,能量最少的是乙图中的B所处的营养级

试题详情

15.酶、激素、抗体是人体内重要的物质。下图所示的是酶、激素、蛋白质、抗体四者关系。下列有关叙述中正确的是

A.2、3、4分别表示蛋白质、激素、抗体

B.能产生3的细胞一定能产生4

C.能产生4的细胞一定能产生1

D.物质1可存在于内环境中

试题详情

14.人体内蛋白质的合成过程是基因表达的结果。下图中甲表示细胞内遗传信息的传递过程,乙为物质A的某一片断,丙为乙指导合成的C物质的片断。下列说法错误的是

丙:-甲硫氨酸-脯氨酸-苏氨酸-甘氨酸-缬氨酸

(可能用到的密码子:甲硫氨酸AUG  脯氨酸CCU、CCA、CCC、CCG  苏氨酸ACU、ACC、ACA、ACG  甘氨酸 GGU、GGA、GGG、GGC  缬氨酸 GUU、GUC、GUA、GUG)

A.若用含有15N标记的胸腺嘧啶脱氧核苷酸的培养基培养细菌,一段时间后,将15N会出现在甲图的A物质中

B.进行有性生殖的生物,亲子代间遗传信息的传递是通过甲图中①过程实现的,这一过程发生于细胞的有丝分裂间期

C.在根尖分生区细胞中,能发生①过程的细胞结构有细胞核、线粒体

D.丙是以乙的α链为模板指导合成的,最终使乙中的遗传信息体现在氨基酸的排列顺序上

试题详情

13.一些生物学现象可以用数学模型表示。下列对各曲线所表达的生物学含义的描述,正确的是

①甲图可表示哺乳动物成熟的红细胞中ATP的生成速率与氧气浓度的关系

②乙图可表示温室中一天内CO2浓度的变化

③丙图可表示酵母菌呼吸时O2浓度和CO2产生量的关系,a点ATP产生量最大

④丁图可表示小鼠的离体细胞内酶活性与环境温度的关系

A.①④     B.②③     C. ③④     D.①②

试题详情

12.人体肝细胞内,由DNA控制合成的一组物质是

   A.过氧化氢酶、转运RNA、信使RNA 

B.胰岛素、消化酶、信使RNA

C.有氧呼吸酶、肌糖元、转运RNA  

D.氨基酸、胰岛素、信使RNA

试题详情


同步练习册答案