0  279584  279592  279598  279602  279608  279610  279614  279620  279622  279628  279634  279638  279640  279644  279650  279652  279658  279662  279664  279668  279670  279674  279676  279678  279679  279680  279682  279683  279684  279686  279688  279692  279694  279698  279700  279704  279710  279712  279718  279722  279724  279728  279734  279740  279742  279748  279752  279754  279760  279764  279770  279778  447090 

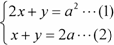
20. (本小题满分10分)

已知方程组           的解为,求的值.

试题详情

19.(本小题满分10分)

如图9,在等腰梯形中,

分别为的中点.

求证:

图9
 
 

试题详情

18.(本小题满分9分)

已知二次函数

(1)将此函数式写成的形式,并写出的值;

(2)求这个函数图像的顶点坐标及对称轴方程

试题详情

17.(本小题满分9分)

先化简,后计算:,其中.

试题详情

16. 如图8所示,1条直线最多能将圆的内部分成2部分,2条直线最多能将圆的内部分成4部分.那么3条直线最多能将圆的内部分成_______部分,5条直线最多能将圆的内部分成______部分.(每部分不要求全等)

试题详情

15. 已知反比例函数的图像与一次函数的图像在第一象限交于点,且点的纵坐标为4,则反比例函数的解析式为________________.

试题详情

14. 如图7,平行四边形中,分别是的中点,若三角形的面积

等于,则平行四边形的面积等于_______________

试题详情

13. 如图6,为等边三角形,,则

试题详情

12. 比较大小:(用“”或“”填空)

试题详情

11. 计算:.

试题详情


同步练习册答案