0  281427  281435  281441  281445  281451  281453  281457  281463  281465  281471  281477  281481  281483  281487  281493  281495  281501  281505  281507  281511  281513  281517  281519  281521  281522  281523  281525  281526  281527  281529  281531  281535  281537  281541  281543  281547  281553  281555  281561  281565  281567  281571  281577  281583  281585  281591  281595  281597  281603  281607  281613  281621  447090 

1.影响化学反应速率的最根本的因素是

A.催化剂     B.温度    C.反应物的性质   D.浓度

试题详情

23.(本小题满分8分)已知{ an }是各项为正数的等比数列,且a1 = 1,a2  + a3 = 6,

求该数列前10项的和S10

24 (本小题满分8分)如图,在直三棱柱ABC -A1B1C1 中,AB = AC = 1,AA1 = ABAC  求异面直线BC1AC所成角的度数

25 (本小题满分8分)某化工厂生产的某种化工产品,当年产量在150吨至250吨之内,其年生产的总成本(万元)与年产量(吨)之间的关系可近似地表示为

(1)当年产量为多少吨时,每吨的平均成本最低,并求每吨最低平均成本

(2)若每吨平均出厂价为16万元,求年生产多少吨时,可获得最大的年利润,并求最大年利润。

试题详情

22.(本小题满分8分)求到两个定点的距离之比等于2的点的轨迹方程。

试题详情

21.(本小题满分8分)设的值

试题详情

20.为等差数列,,则__________

  一、选择题答题卡:班级:_______姓名:___________考号:_______

试题详情

16.函数的最小正周期     

17已知,那么的夹角的余弦值为       

18正方体的全面积是,它的顶点都在一个球面上,则这个球的表面积是_________

19  在△中,若,则等于      

试题详情

1 已知,则的终边在(  )A 第一象限    B 第二象限   C 第三象限   D 第四象限

2已知 f ( x ) =  + 1 ,则 f ( 0 )  = (  )(A)-1   (B)0   (C) 1  (D)2  

3算式的值是( )A    B     C       D

4铁路旅行规定:旅客每人免费携带品的外部尺寸长 高之和不超过160厘米 设携带品外部尺寸长宽

高分别为abc (单位:厘米),这个规定用数学关系式可表示为(  )

 (A)a + b + c <160  (B)a + b + c  >160  (C)a + b + c  ≤ 160  (D)a + b + c  ≥160 

5假设全集,集合,那么等于(  )

A.{4,8}  B.{4,10}   C.{0,4,8}  D.{0,4,10}

6  若,则下列各式正确的是(   )

A B C D

7  如图,在正六边形ABCDEF中,点O为其中点,则下列判断错误的是(  )A   B C D

8  在空间中,下列命题正确的是(   )

A 平行于同一平面的两条直线平行B 平行于同一直线的两个平面平行

C 垂直于同一直线的两条直线平行D 垂直于同一平面的两条直线平行

9圆心在上,半径为3的圆的标准方程为(  )

A   B

C   D  

10  根据下面的流程图操作,使得当成绩不低于60分时,输出“及格”,

当成绩低于60分时,输出“不及格”,则(   )

A.1框中填“Y”,2框中填“N”  B.1框中填“N”,2框中填“Y”

C.1框中填“Y”,2框中可以不填  D.2框中填“N”,1框中可以不填

11  下列向量中,与垂直的向量是(     )A. B. C.  D.

12为检查某校学生心理健康状况,市教委从该校1400名学生中随机抽查400名学生,检查他们的心理健康程度,则下列说法正确的是(     ) A.1400名学生的心理健康状况是总体 B.每个学生是个体

C.400名学生是总体的一个样本     D.400名学生为样本容量

13  将容量为100的样本数据,按从小到大的顺序分为8个组,如下表:  

组号
1
2
3
4
5
6
7
8
频数
10
13
14
14
15
13
12
9

则第三组的频率和累积频率分别是(  )A.0.14和0.37 B. C.0.03和0.06 D.                         

14  已知函数,则的取值范围是(    )

  (A).   (B).   (C).   (D).

15  已知的取值范围为(  )

A.      B.      C.     D.

试题详情

(17)(本小题满分12分)

某种有奖销售的饮料,瓶盖内印有“奖励一瓶”或“谢谢购买”字样,购买一瓶若其瓶盖内印有“奖励一瓶”字样即为中奖,中奖概率为.甲、乙、丙三位同学每人购买了一瓶该饮料。

(Ⅰ)求甲中奖且乙、丙都没有中奖的概率;

(Ⅱ)求中奖人数ξ的分布列及数学期望Eξ.

解:显然甲、乙、丙三位同学是否中奖独立,所以甲中奖且乙、丙都没有中奖的概率是:

(2)

ξ
0
1
2
3
P
[来源:Z&xx&]



Eξ=

(18)(本小题满分12分)w_w w. k#s5_

已知正方体ABCDA'B'C'D'的棱长为1,点M是棱AA'的中点,点O是对角线BD'的中点.

(Ⅰ)求证:OM为异面直线AA'和BD'的公垂线;

(Ⅱ)求二面角MBC'-B'的大小;

(Ⅲ)求三棱锥MOBC的体积.

(19)(本小题满分12分)

(Ⅰ)1证明两角和的余弦公式

    2由推导两角和的正弦公式.

(Ⅱ)已知△ABC的面积,且,求cosC.

(20)(本小题满分12分)

已知定点A(-1,0),F(2,0),定直线lx,不在x轴上的动点P与点F的距离是它到直线l的距离的2倍.设点P的轨迹为E,过点F的直线交EBC两点,直线ABAC分别交l于点MN

(Ⅰ)求E的方程;

(Ⅱ)试判断以线段MN为直径的圆是否过点F,并说明理由.

(21)(本小题满分12分)

已知数列{an}满足a1=0,a2=2,且对任意mnN*都有

a2m1+a2n1=2am+n1+2(mn)2

(Ⅰ)求a3a5

(Ⅱ)设bna2n+1a2n1(nN*),证明:{bn}是等差数列;

(Ⅲ)设cn=(an+1an)qn1(q≠0,nN*),求数列{cn}的前n项和Sn.

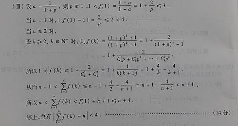
(22)(本小题满分14分)

(),g(x)是f(x)的反函数.

(Ⅰ)设关于的方程求在区间[2,6]上有实数解,求t的取值范围;

(Ⅱ)当ae(e为自然对数的底数)时,证明:

(Ⅲ)当0<a≤时,试比较与4的大小,并说明理由.

试题详情

(13)的展开式中的第四项是      . w_w_w.k*s 5*

解析:T4 w_w_w.k*s 5*

答案:-

(14)直线与圆相交于AB两点,则     .

解析:方法一、圆心为(0,0),半径为2

圆心到直线的距离为dw_w w. k#s5_

w_w_w.k*s 5*

得|AB|=2

答案:2

(15)如图,二面角的大小是60°,线段.

所成的角为30°.则与平面所成的角的正弦值是     .

解析:过点A作平面β的垂线,垂足为C,在β内过Cl的垂线.垂足为D

连结AD,有三垂线定理可知ADl

故∠ADC为二面角的平面角,为60°

又由已知,∠ABD=30°

连结CB,则∠ABC与平面所成的角w_w_w.k*s 5*

AD=2,则ACCD=1

AB=4

sinABC

答案:

(16)设S为复数集C的非空子集.若对任意,都有,则称S为封闭集。下列命题:

①集合S={a+bi|(为整数,为虚数单位)}为封闭集;w_w_w.k*s 5*

②若S为封闭集,则一定有

③封闭集一定是无限集;

④若S为封闭集,则满足的任意集合也是封闭集. w_w w. k#s5_

其中真命题是          (写出所有真命题的序号)

解析:直接验证可知①正确.

S为封闭集时,因为xyS,取xy,得0∈S,②正确

对于集合S={0},显然满足素有条件,但S是有限集,③错误

S={0},T={0,1},满足,但由于0-1=-1ÏT,故T不是封闭集,④错误

答案:①②

试题详情

(1)i是虚数单位,计算i+i2+i3

(A)-1     (B)1     (C)      (D)

解析:由复数性质知:i2=-1

i+i2+i3i+(-1)+(-i)=-1

答案:A

(2)下列四个图像所表示的函数,在点处连续的是

(A)         (B)        (C)       (D)

解析:由图象及函数连续的性质知,D正确.w_w_w.k*s 5*

答案:D

(3)2log510+log50.25=w_w_w.k*s 5*

(A)0     (B)1     (C) 2     (D)4w_w w. k#s5_

解析:2log510+log50.25

log5100+log50.25

log525

=2

答案:C

(4)函数f(x)=x2+mx+1的图像关于直线x=1对称的充要条件是

(A)     (B)     (C)      (D)

解析:函数f(x)=x2+mx+1的对称轴为x=- w_w_w.k*s 5*

   于是-=1  Þ  m=-2

答案:A

(5)设点M是线段BC的中点,点A在直线BC外,

(A)8     (B)4     (C) 2     (D)1w_w w. k#s5_

解析:由=16,得|BC|=4 w_w_w.k*s 5*

=4

2

答案:C w_w_w.k*s 5*

(6)将函数的图像上所有的点向右平行移动个单位长度,再把所得各点的横坐标伸长到原来的2倍(纵坐标不变),所得图像的函数解析式是w_w w. k#s5_

(A)      (B) w_w_w.k*s 5*

(C)      (D)

解析:将函数的图像上所有的点向右平行移动个单位长度,所得函数图象的解析式为ysin(x) w_w_w.k*s 5*

   再把所得各点的横坐标伸长到原来的2倍(纵坐标不变),所得图像的函数解析式是.

答案:C

(7)某加工厂用某原料由甲车间加工出A产品,由乙车间加工出B产品.甲车间加工一箱原料需耗费工时10小时可加工出7千克A产品,每千克A产品获利40元,乙车间加工一箱原料需耗费工时6小时可加工出4千克B产品,每千克B产品获利50元.甲、乙两车间每天共能完成至多70箱原料的加工,每天甲、乙两车间耗费工时总和不得超过480小时,甲、乙两车间每天总获利最大的生产计划为w_w_w.k*s 5*

(A)甲车间加工原料10箱,乙车间加工原料60箱

(B)甲车间加工原料15箱,乙车间加工原料55箱

(C)甲车间加工原料18箱,乙车间加工原料50箱

(D)甲车间加工原料40箱,乙车间加工原料30箱

解析:设甲车间加工原料x箱,乙车间加工原料y

w_w w. k#s5_

目标函数z=280x+300y

结合图象可得:当x=15,y=55时z最大

本题也可以将答案逐项代入检验.

答案:B w_w_w.k*s 5*

(8)已知数列的首项,其前项的和为,且,则

(A)0     (B)     (C) 1     (D)2

解析:由,且 w_w_w.k*s 5*

作差得an+2=2an+1

S2=2S1+a1,即a2+a1=2a1+a1  Þ  a2=2a1w_w w. k#s5_

故{an}是公比为2的等比数列

Sna1+2a1+22a1+……+2n1a1=(2n-1)a1

答案:B

(9)椭圆的右焦点,其右准线与轴的交点为A,在椭圆上存在点P满足线段AP的垂直平分线过点,则椭圆离心率的取值范围是w_w_w.k*s 5*

(A)     (B)     (C)      (D)

解析:由题意,椭圆上存在点P,使得线段AP的垂直平分线过点

F点到P点与A点的距离相等w_w w. k#s5_

而|FA|= w_w_w.k*s 5*

  |PF|∈[ac,a+c]

于是∈[ac,a+c]

acc2b2ac+c2

Þ w_w_w.k*s 5*

e∈(0,1)

e

答案:D

(10)由1、2、3、4、5、6组成没有重复数字且1、3都不与5相邻的六位偶数的个数是

(A)72    (B)96     (C) 108     (D)144 w_w_w.k*s 5*

解析:先选一个偶数字排个位,有3种选法w_w_w.k*s 5*

   ①若5在十位或十万位,则1、3有三个位置可排,3=24个

②若5排在百位、千位或万位,则1、3只有两个位置可排,共3=12个

算上个位偶数字的排法,共计3(24+12)=108个

答案:C

(11)半径为的球的直径垂直于平面,垂足为

是平面内边长为的正三角形,线段分别

与球面交于点MN,那么MN两点间的球面距离是

(A)     (B) w_w_w.k*s 5*

(C)        (D)

解析:由已知,AB=2R,BCR,故tanBAC w_w_w.k*s 5*

cosBAC

连结OM,则△OAM为等腰三角形

AM=2AOcosBAC,同理AN,且MNCD w_w_w.k*s 5*

ACR,CDR

MNCDAN:AC w_w_w.k*s 5*

Þ  MN

连结OMON,有OMONR

于是cosMON

所以MN两点间的球面距离是 w_w_w.k*s 5*

答案:A

(12)设,则的最小值是w_w w. k#s5_

(A)2     (B)4     (C)      (D)5

解析:

w_w_w.k*s 5*

≥0+2+2=4

当且仅当a-5c=0,ab=1,a(ab)=1时等号成立

如取a,b,c满足条件.

答案:B

第Ⅱ卷

试题详情


同步练习册答案