0  283883  283891  283897  283901  283907  283909  283913  283919  283921  283927  283933  283937  283939  283943  283949  283951  283957  283961  283963  283967  283969  283973  283975  283977  283978  283979  283981  283982  283983  283985  283987  283991  283993  283997  283999  284003  284009  284011  284017  284021  284023  284027  284033  284039  284041  284047  284051  284053  284059  284063  284069  284077  447090 

8、函数y=x2(x>0)的图像在点(ak,ak2)处的切线与x轴交点的横坐标为ak+1,k为正整数,a1=16,则a1+a3+a5=____▲_____

[解析]考查函数的切线方程、数列的通项。            

在点(ak,ak2)处的切线方程为:时,解得

所以

试题详情

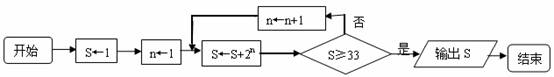
7、右图是一个算法的流程图,则输出S的值是______▲_______

[解析]考查流程图理解。输出

试题详情

6、在平面直角坐标系xOy中,双曲线上一点M,点M的横坐标是3,则M到双曲线右焦点的距离是__________

[解析]考查双曲线的定义。为点M到右准线的距离,=2,MF=4。

试题详情

5、设函数f(x)=x(ex+ae-x)(xR)是偶函数,则实数a=_______▲_________

[解析]考查函数的奇偶性的知识。g(x)=ex+ae-x为奇函数,由g(0)=0,得a=-1。

试题详情

4、某棉纺厂为了了解一批棉花的质量,从中随机抽取了100根棉花纤维的长度(棉花纤维的长度是棉花质量的重要指标),所得数据都在区间[5,40]中,其频率分布直方图如图所示,则其抽样的100根中,有____根在棉花纤维的长度小于20mm。

[解析]考查频率分布直方图的知识。

100×(0.001+0.001+0.004)×5=30

试题详情

3、盒子中有大小相同的3只白球,1只黑球,若从中随机地摸出两只球,两只球颜色不同的概率是_ ▲__.

[解析]考查古典概型知识。

试题详情

2、设复数z满足z(2-3i)=6+4i(其中i为虚数单位),则z的模为______▲_____.

[解析] 考查复数运算、模的性质。z(2-3i)=2(3+2 i), 2-3i与3+2 i的模相等,z的模为2。

试题详情

1、设集合A={-1,1,3},B={a+2,a2+4},A∩B={3},则实数a=______▲_____.

[解析] 考查集合的运算推理。3B,  a+2=3,  a=1.

试题详情

23.下面是2010年广州亚运会会歌入围歌词,请你向亚运会组委会写一份推荐词,建议将它作为本届亚运会会歌歌词。要求:①至少运用两种以上的修辞手法,其中一种为反问。②不少于80字。(6分)

广州之恋

        作者:陶喆

你我千里万里走到一起 / 有情有义没有的

是距离 / 为了寻找英雄的足迹 / 走进傲骨红棉的故里

你我四面八方走在一起 / 有欢有喜都是姐妹兄弟 / 为了超越昨天的自己 / 走进五位仙羊的故事里

这里的人们很客气 / 这里的笑容很秀气 / 这里的胸襟很大气 / 这里的一切很神奇

啊 / 千言万语 / 万语千言 / 爱说的一句是友谊

/ 啊 / 南北东西 / 都来相聚 / 美丽的广州 / 你是我向往的地方 / 我恋着你

试题详情


同步练习册答案