0  283885  283893  283899  283903  283909  283911  283915  283921  283923  283929  283935  283939  283941  283945  283951  283953  283959  283963  283965  283969  283971  283975  283977  283979  283980  283981  283983  283984  283985  283987  283989  283993  283995  283999  284001  284005  284011  284013  284019  284023  284025  284029  284035  284041  284043  284049  284053  284055  284061  284065  284071  284079  447090 

5.为阿伏加德罗常数的值,下列叙述正确的是

A.常温下,溶液中氮原子数为0.2

B.1mol羟基中电子数为10

C.在反应中,每生成3mol转移的电子数为6

D.常温常压下,22.4L乙烯中键数为4

试题详情

4.下列有关物质的性质或应用的说法正确的是

A.二氧化硅是生产光纤制品的基本原料

B.水玻璃可用于生产黏合剂和防火剂

C.盐析可提纯蛋白质并保持其生理活性

D.石油分馏可获得乙烯、丙烯和丁二烯

试题详情

3.下列离子方程式表达正确的是

A.用惰性电极电解熔融氯化钠:

B.用氢氧化钠溶液除去铝表面的氧化膜:

C.用稀氢氧化钠溶液吸收二氧化氮:

D.用食醋除去水瓶中的水垢:

[答案]B

[解析]本题主要考查的是离子方程式的正误判断。A项,电解的是熔融状态的NaCl,不是NaCl溶液,2NaCl2Na + Cl2↑;B项,Al2O3能溶于NaOH溶液,生成偏铝酸盐;C项,NO2与NaOH反应,生成硝酸盐和亚硝酸盐,2OH- + 2NO2 = NO3- + NO2- + H2O;D项,水垢中的主要成分为CaCO3,是难溶物。综上分析可知,本题选B项。

试题详情

2.水是最宝贵的资源之一。下列表述正确的是

A.H2O的电子式为

B.4℃时,纯水的pH=7

C.中,质量数之和是质子数之和的两倍

D.273K、101kPa,水分子间的平均距离(气态)>(液态)>(固态)

试题详情

1.化学与能源开发、环境保护、资源利用等密切相关。下列说法正确的是

A.为提高农作物的产量和质量,应大量使用化肥和农药

B.绿色化学的核心是应用化学原理对环境污染进行治理

C.实现化石燃料清洁利用,就无需开发新能源

D.垃圾是放错地方的资源,应分类回收利用

试题详情

23、(本小题满分10分)

已知△ABC的三边长都是有理数。

(1)求证cosA是有理数;(2)求证:对任意正整数n,cosnA是有理数。

[解析] 本题主要考查余弦定理、数学归纳法等基础知识,考查推理论证的能力与分析问题、解决问题的能力。满分10分。

(方法一)(1)证明:设三边长分别为,∵是有理数,

是有理数,分母为正有理数,又有理数集对于除法的具有封闭性,

必为有理数,∴cosA是有理数。

(2)①当时,显然cosA是有理数;

时,∵,因为cosA是有理数, ∴也是有理数;

②假设当时,结论成立,即coskA、均是有理数。

时,

解得:

∵cosA,均是有理数,∴是有理数,

是有理数。

即当时,结论成立。

综上所述,对于任意正整数n,cosnA是有理数。

(方法二)证明:(1)由AB、BC、AC为有理数及余弦定理知

是有理数。

(2)用数学归纳法证明cosnA和都是有理数。

①当时,由(1)知是有理数,从而有也是有理数。

②假设当时,都是有理数。

时,由

及①和归纳假设,知都是有理数。

即当时,结论成立。

综合①、②可知,对任意正整数n,cosnA是有理数。

试题详情

22、(本小题满分10分)

某工厂生产甲、乙两种产品,甲产品的一等品率为80%,二等品率为20%;乙产品的一等品率为90%,二等品率为10%。生产1件甲产品,若是一等品则获得利润4万元,若是二等品则亏损1万元;生产1件乙产品,若是一等品则获得利润6万元,若是二等品则亏损2万元。设生产各种产品相互独立。

(1)记X(单位:万元)为生产1件甲产品和1件乙产品可获得的总利润,求X的分布列;

(2)求生产4件甲产品所获得的利润不少于10万元的概率。

[解析] 本题主要考查概率的有关知识,考查运算求解能力。满分10分。

解:(1)由题设知,X的可能取值为10,5,2,-3,且

   P(X=10)=0.8×0.9=0.72,        P(X=5)=0.2×0.9=0.18,

   P(X=2)=0.8×0.1=0.08,        P(X=-3)=0.2×0.1=0.02。

  由此得X的分布列为:

X
10
5
2
-3
P
0.72
0.18
0.08
0.02

(2)设生产的4件甲产品中一等品有件,则二等品有件。

   由题设知,解得

   又,得,或

所求概率为

答:生产4件甲产品所获得的利润不少于10万元的概率为0.8192。

试题详情

21.[选做题]本题包括A、B、C、D四小题,请选定其中两题并在相应的答题区域内作答。若多做,则按作答的前两题评分。解答时应写出文字说明、证明过程或演算步骤。

A.   选修4-1:几何证明选讲

(本小题满分10分)

AB是圆O的直径,D为圆O上一点,过D作圆O的切线交AB延长线于点C,若DA=DC,求证:AB=2BC。

[解析] 本题主要考查三角形、圆的有关知识,考查推理论证能力。

(方法一)证明:连结OD,则:OD⊥DC,

又OA=OD,DA=DC,所以∠DAO=∠ODA=∠DCO,

∠DOC=∠DAO+∠ODA=2∠DCO,

所以∠DCO=300,∠DOC=600

所以OC=2OD,即OB=BC=OD=OA,所以AB=2BC。

(方法二)证明:连结OD、BD。

因为AB是圆O的直径,所以∠ADB=900,AB=2 OB。

因为DC 是圆O的切线,所以∠CDO=900

又因为DA=DC,所以∠DAC=∠DCA,

于是△ADB≌△CDO,从而AB=CO。

即2OB=OB+BC,得OB=BC。

故AB=2BC。

B.   选修4-2:矩阵与变换

(本小题满分10分)

在平面直角坐标系xOy中,已知点A(0,0),B(-2,0),C(-2,1)。设k为非零实数,矩阵M=,N=,点A、B、C在矩阵MN对应的变换下得到点分别为A1、B1、C1,△A1B1C1的面积是△ABC面积的2倍,求k的值。

[解析] 本题主要考查图形在矩阵对应的变换下的变化特点,考查运算求解能力。满分10分。

解:由题设得

,可知A1(0,0)、B1(0,-2)、C1(,-2)。

计算得△ABC面积的面积是1,△A1B1C1的面积是,则由题设知:

所以k的值为2或-2。

C.   选修4-4:坐标系与参数方程

(本小题满分10分)

在极坐标系中,已知圆ρ=2cosθ与直线3ρcosθ+4ρsinθ+a=0相切,求实数a的值。

[解析] 本题主要考查曲线的极坐标方程等基本知识,考查转化问题的能力。满分10分。

解:,圆ρ=2cosθ的普通方程为:

直线3ρcosθ+4ρsinθ+a=0的普通方程为:

又圆与直线相切,所以解得:,或

D.   选修4-5:不等式选讲

(本小题满分10分)

设a、b是非负实数,求证:

[解析] 本题主要考查证明不等式的基本方法,考查推理论证的能力。满分10分。

(方法一)证明:

因为实数a、b≥0,

所以上式≥0。即有

(方法二)证明:由a、b是非负实数,作差得

时,,从而,得

时,,从而,得

所以

[必做题]第22题、第23题,每题10分,共计20分。请在答题卡指定区域内作答,解答时应写出文字说明、证明过程或演算步骤。

试题详情

20、(本小题满分16分)

是定义在区间上的函数,其导函数为。如果存在实数和函数,其中对任意的都有>0,使得,则称函数具有性质

(1)设函数,其中为实数。

(i)求证:函数具有性质; (ii)求函数的单调区间。

(2)已知函数具有性质。给定为实数,

,且

若||<||,求的取值范围。

[解析] 本小题主要考查函数的概念、性质、图象及导数等基础知识,考查灵活运用数形结合、分类讨论的思想方法进行探索、分析与解决问题的综合能力。满分16分。

(1)(i)

时,恒成立,

∴函数具有性质

(ii)(方法一)设的符号相同。

时,,故此时在区间上递增;

时,对于,有,所以此时在区间上递增;

时,图像开口向上,对称轴,而

对于,总有,故此时在区间上递增;

(方法二)当时,对于

  所以,故此时在区间上递增;

时,图像开口向上,对称轴,方程的两根为:,而

 当时,,故此时在区间   上递减;同理得:在区间上递增。

综上所述,当时,在区间上递增;

      当时,上递减;上递增。

(2)(方法一)由题意,得:

对任意的都有>0,

所以对任意的都有上递增。

时,,且

     

综合以上讨论,得:所求的取值范围是(0,1)。

(方法二)由题设知,的导函数,其中函数对于任意的都成立。所以,当时,,从而在区间上单调递增。

①当时,有

,得,同理可得,所以由的单调性知

从而有||<||,符合题设。

②当时,

,于是由的单调性知,所以||≥||,与题设不符。

③当时,同理可得,进而得||≥||,与题设不符。

因此综合①、②、③得所求的的取值范围是(0,1)。

数学Ⅱ(附加题)

试题详情

19、(本小题满分16分)

设各项均为正数的数列的前n项和为,已知,数列是公差为的等差数列。

(1)求数列的通项公式(用表示);

(2)设为实数,对满足的任意正整数,不等式都成立。求证:的最大值为

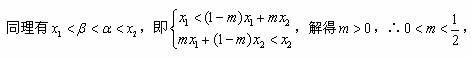
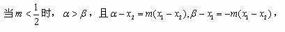
[解析] 本小题主要考查等差数列的通项、求和以及基本不等式等有关知识,考查探索、分析及论证的能力。满分16分。

(1)由题意知:

化简,得:

时,,适合情形。

故所求

(2)(方法一)

恒成立。

  又

,即的最大值为

(方法二)由,得

于是,对满足题设的,有

所以的最大值

另一方面,任取实数。设为偶数,令,则符合条件,且

于是,只要,即当时,

所以满足条件的,从而

因此的最大值为

试题详情


同步练习册答案