0  286748  286756  286762  286766  286772  286774  286778  286784  286786  286792  286798  286802  286804  286808  286814  286816  286822  286826  286828  286832  286834  286838  286840  286842  286843  286844  286846  286847  286848  286850  286852  286856  286858  286862  286864  286868  286874  286876  286882  286886  286888  286892  286898  286904  286906  286912  286916  286918  286924  286928  286934  286942  447090 

下表反映了2001年-2050年世界移民趋势。据此完成18--19题。

迁出国
数量(万人/年)
迁入国
数量(万人/年)
中国
30.3
美国
110.0
墨西哥
26.7
德国
21.2
印度
22.2
加拿大
17.3
印度尼西亚
18.0
英国
13.6
菲律宾
14.4
澳大利亚
8.3

18.关于人口迁移的叙述,正确的是(   )                     

A.主要由人口多的国家迁往人口少的国家 B.主要由发展中国家迁往发达国家

C.全球迁出人口少于迁入人口      D.主要由亚洲国家迁往拉丁美洲国家

19.下列关于人口迁移影响的叙述,正确的是(   )                 

A.减轻了迁入地的就业压力        B.加重了迁出地的环境压力

  C.为迁入地提供劳动力,促进经济发展   D.对迁出地人们生活观念的更新没有帮助

试题详情

17.下列各国与下图中“产业结构”和“人口年龄结构”图所示特征

相吻合的是(   )

A.美国–甲 –丁   B.印度–甲 –丙  C.德国–乙 –丙  D.巴西–乙 –丁

试题详情

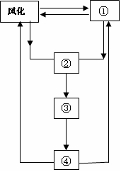
读五种外力相互联系、相互影响的示意图, 完成15--16题。

15.沙尘暴、泥石流属于哪种外力作用(   )

A.①   B.②    C.③    D.④

16.除风化作用外,对地貌景观影响较大的外力作用(   )   A.①②  B.①③  C.②③  D.③④

   

试题详情

读某地等高线图 ,回答12--14题。

12.如果在图中AB处修建水坝,形成的水库最大蓄水水位海拔为100米,那么图中要搬迁的村庄是(   )

A.乙村       B.甲村  

C.丁村       D.丙村

13.如果要在图中区域建一个火情监测点,最好选择(   )

A.戊点         B.辛点  

C.庚点        D.已点

14.该区域的植被类型是(   )

A.亚热带常绿阔叶林    

B.亚热带常绿硬叶林

C.温带落叶阔叶林   

D.热带季雨林

试题详情

读“1998-2006年我国能源生产与消费总量变化图”,回答10--11题。

10.读右图可知(   )

   A.我国能源生产总量在2000

年达到最大值

   B.进入21世纪以后,我国能

源净进口量呈现上升趋势

   C.1998-2006年期间我国一

直进口能源,没有出口能源

   D.图示大多数年份我国能源

生产总量大于消费总量

11.能源安全是我国目前的一个紧 

迫而重大的问题。下列措施能

保证我国能源安全的是(   )

   ①参与国际能源开发,实现能

源进口多元化

②加大能源战略储备,减少对

进口能源依赖

③全面禁止采挖煤炭,使用新能源替代煤炭

④倡导绿色消费,提高能源使用效率

A.②③④      B.①③④ 

C.①②④      D.①②③

试题详情

读右图,回答 7--9题。

7.若该气压系统形成于3月初,则我国北方地区

 不可能出现的气象灾害是(   )

A.暴风雪  B.沙尘暴  

C.寒潮   D.暴雨

8.图示区域内风向较大的是(   )

A.东北部   B.东部 

C.南部    D.西北部

9.图中如果存在着降水现象,则可能是(   )

   A.①③ B.②③ C.①④ D.②④

试题详情

读某地海陆轮廓和板块示意图(如右图),回答5--6题。

5.按照六大板块的划分,M小板块属于(   )

A.亚欧板块      B.印度洋板块

C.非洲板块       D.太平洋板块

6.图中所示的边界属于(   )

A.陆地区域边界     B.板块消亡边界

C.海洋区域边界     D.板块生长边界

试题详情

判断下面所示各图(图中阴影部分为夜半球)回答3--4题。

3.下列各图中的太阳直射点,从北到南排序正确的一组是(   )

A.④①②③    B.①②③④    C.①③②④    D.④①③②

4.读②图中的信息,计算北京时间是(   )

A.15点    B.6点    C. 9点    D.3点

试题详情

2009年7月22日上午9时左右(北京时间),千年一遇的日全食自西向东扫过我国长江流域(如图阴影所示),读图完成1--2题。

1.日全食发生当日,下列四城市正午太阳高度最低,昼最长的是(   )       

A.北京      B.上海     

C.武汉      D.成都

2.当南京地区的人们观看日全食现象时,纽约时间(西五区)约是(   )         

A.7月22日22时       B.7月21日14时

C.7月22日20时       D.7月21日20时

试题详情


同步练习册答案