0  289700  289708  289714  289718  289724  289726  289730  289736  289738  289744  289750  289754  289756  289760  289766  289768  289774  289778  289780  289784  289786  289790  289792  289794  289795  289796  289798  289799  289800  289802  289804  289808  289810  289814  289816  289820  289826  289828  289834  289838  289840  289844  289850  289856  289858  289864  289868  289870  289876  289880  289886  289894  447090 

7.(2006年北京卷14)某校数学课外小组在坐标纸上,为学校的一块空地设计植树方案如下:第棵树种植在点处,其中,当时,

表示非负实数的整数部分,例如.按此方案,第6棵树种植点的坐标应为   ;第2008棵树种植点的坐标应为  

答案  (1,2)(3,402)

试题详情

6.(2007年上海4)方程 的解是          

答案    

试题详情

5.(2006年上海春季2)方程的解     .

答案  2

试题详情

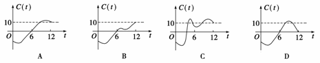
4.某地一年内的气温(单位:℃)与时刻(月份)之间的关系如图所示,已知该年的平均气温为10℃ .令C(t)表示的时间段[0,t]的平均气温,

C(t)与t之间的函数关系用下列图象表示,则正确的应该是   (    )

答案  A

解析  由图可以发现当t=6时,C(t)=0,排除C;t=12时,C(t)=10,排除D;t在大于6 的某一段气温超于10,所以排除B,故选A。

试题详情

3.(07广东)客车从甲地以60km/h的速度匀速行驶1小时到达乙地,在乙地停留了半小时,然后以80km/h的速度匀速行驶1小时到达丙地,下列描述客车从甲地出发.经过乙地,最后到达丙地所经过的路程s与时间t之间关系的图象中,正确的是     (   )

A      B         C         D

答案  C

试题详情

2.(2008年福建卷12)已知函数y=f(x),y=g(x)的导函数的图象如下图,那么y=f(x),y=g(x)

的图象可能是                            (   )

答案  D

试题详情

1.(2008年全国一2)汽车经过启动、加速行驶、匀速行驶、减速行驶之后停车,若把这一

过程中汽车的行驶路程看作时间的函数,其图像可能是          (   )

 

答案  A

试题详情

7.(2009上海卷文)(本题满分16分)本题共有2个小题,第1小题满分6分,第2小题满分10分 .有时可用函数   

描述学习某学科知识的掌握程度.其中表示某学科知识的学习次数(),表示对该学科知识的掌握程度,正实数a与学科知识有关.

(1)证明:当x 7时,掌握程度的增长量f(x+1)- f(x)总是下降;  

(2)根据经验,学科甲、乙、丙对应的a的取值区间分别为(115,121],(121,127],

(127,133].当学习某学科知识6次时,掌握程度是85%,请确定相应的学科.

证明  (1)当时,

而当时,函数单调递增,且

故函数单调递减      

时,掌握程度的增长量总是下降  

(2)有题意可知

整理得

解得…….13分

由此可知,该学科是乙学科……………..14分

2005-2008年高考题

试题详情

6.(2009年上海卷理)有时可用函数  

描述学习某学科知识的掌握程度,其中x表示某学科知识的学习次数(),表示对该学科知识的掌握程度,正实数a与学科知识有关。

(1)证明  当时,掌握程度的增加量总是下降;

(2)根据经验,学科甲、乙、丙对应的a的取值区间分别为

,,。当学习某学科知识6次时,掌握程度是85%,请确定相应的学科。

证明 (1)当

而当,函数单调递增,且>0……..3分

单调递减 

,掌握程度的增长量总是下降……………..6分

(2)由题意可知0.1+15ln=0.85……………….9分

整理得

解得…….13分

由此可知,该学科是乙学科……………..14分  

试题详情

5. (2009湖南卷理)(本小题满分13分)

某地建一座桥,两端的桥墩已建好,这两墩相距米,余下工程只需要建两端桥墩之间的桥面和桥墩,经预测,一个桥墩的工程费用为256万元,距离为米的相邻两墩之间的桥面工程费用为万元。假设桥墩等距离分布,所有桥墩都视为点,且不考虑其他因素,记余下工程的费用为万元。

  (Ⅰ)试写出关于的函数关系式;

  (Ⅱ)当=640米时,需新建多少个桥墩才能使最小?

解 (Ⅰ)设需要新建个桥墩,

所以 

  (Ⅱ)  由(Ⅰ)知,

  令,得,所以=64   

   当0<<64时<0,  在区间(0,64)内为减函数;     

时,>0. 在区间(64,640)内为增函数,

所以=64处取得最小值,此时,

故需新建9个桥墩才能使最小。

试题详情


同步练习册答案