0  293202  293210  293216  293220  293226  293228  293232  293238  293240  293246  293252  293256  293258  293262  293268  293270  293276  293280  293282  293286  293288  293292  293294  293296  293297  293298  293300  293301  293302  293304  293306  293310  293312  293316  293318  293322  293328  293330  293336  293340  293342  293346  293352  293358  293360  293366  293370  293372  293378  293382  293388  293396  447090 

29.(2010上海卷)粘合剂M的合成路线如下图所示:

完成下列填空:

1)写出A和B的结构简式。

A                 B                  

2)写出反应类型。反应⑥          反应⑦        

3)写出反应条件。反应②          反应⑤        

4)反应③和⑤的目的是                    

5)C的具有相同官能团的同分异构体共有         种。

6)写出D在碱性条件下水的反应方程式。

                                    

答案:1)A:CH3CH=CH2;B:CH2=CHCH2Cl(CH2=CHCH2Br);2)反应⑥:酯化反应;反应⑦:加聚反应;3)反应②:NaOH/H2O,加热;反应⑤NaOH/C2H5OH,加热;4)保护碳碳双键;5)4种;6)

解析:此题考查了有机合成知识。1)根据合成路线图,A为C3H6和后续反应,其为丙烯;A转化为B后,B可以继续生成CH2=CHCH2OH,说明B是卤代烃;2)根据路线图中的变化,可知反应⑥是酯化反应;反应⑦是加聚反应;3)反应②是卤代烃水解,其反应条件为:NaOH/H2O,加热;反应⑤的条件是:NaOH/C2H5OH,加热;4)反应过程中③和⑤的目的是保护碳碳双键;5)C是CH2=CH-COOCH3,其含有相同官能团的同分异构体有4种;6)D在碱性条件下水解得到:

技巧点拨:解答有机合成题时:首先要判断待合成有机物的类别、带有何种官能团,然后结合所学知识或题给新信息,分析得出官能团的引入、转换、保护或消去的方法,找出合成该有机物的关键和题眼。

①顺推法:研究原料分子的性质,找出合成所需的直接或间接的中间产物,逐步推向待合成的有机化合物。

②逆推法:从目标分子入手,分析目标有机物的结构特点,找出合成所需的直接或间接的中间产物,逐步推向已知原料,再设计出合理的线路。

③综合法:既从原料分子进行正推,也从目标分子进行逆推法,同时通过中间产物衔接两种方法得出最佳途径的方法。

试题详情

28.(2010福建卷) (14分)最近科学家获得了一种稳定性好、抗氧化能力强的活性化合物,其结构如下:

   

           A                  B

在研究其性能的过程中,发现结构片段X对化合物A的性能有重要作用。为了研究X的结构,将化合物A在一定条件下水解只得到B和C。经元素分析及相对分子质量测定,确定C的分子式为C7H6O3,C遇FeCl3水溶液显紫色,与NaHCO3溶液反应有CO2产生。

请回答下列问题:

(1)化合物B能发生下列哪些类型的反应      

A. 取代反应   B.加成反应    C. 缩聚反应    D.氧化反应

(2)写出化合物C所有可能的结构简式       

(3)化合物C能经下列反应得到G(分子式为C8H6O2,分子内含有五元环);

  

①确认化合物C的结构简式为      

②FG反应的化学方程式为      

③化合物E有多种同分异构体,核磁共振谱图表明,其中某些同分异构体含有苯环,且苯环上有两种不同化学环境的氢,写出这些同分异构体中任意三种的结构简式      

试题解析:

题给信息:1、A→B+C,根据A与B的结构的区别,此反应为酯的水解反应,A含羟基则C含羧基。2、C的分子式为C7H6O3,缺氢分析(16-6)/2=5,结构中含有苯环和羧基。3、C遇FeCl3水溶液显紫色,与NaHCO3溶液反应有CO2产生。根据2、3可以判断C的结构中韩苯环、酚羟基、羧基。

各小题分析:(1)化合物B含碳碳双键和醇羟基,而且是伯醇羟基。所以只有缩聚反应不能发生。答案:A\B\D。

(2)C所有可能的结构简式为:

(3)

C:       → D:      →E:      →F:       →G:

①的答案为

②FG反应的化学方程式为:

教与学提示:

有机合成推断是近几年必考的题型。进行缺氢的定量分析可以准确判断分子结构中存在的不饱和键可能存在形式。要能顺利解题必须对有机物官能团的性质非常熟悉。要研究和分析题给的信息,在适当时机选择使用题给信息。此种题型对于学生熟练和深入掌握有机化学基础知识有重要意义。在教学中要进行较长时间,较多题型的专项训练。比如官能团改变的、碳链加长或缩短的、成环的或开环的等等。

试题详情

26.(2010安徽卷)(17分)

F是新型降压药替米沙坦的中间体,可由下列路线合成:

    (1)AB的反应类型是    ,DE的反应类型是     ,EF的反应类型是     

    (2)写出满足下列条件的B的所有同分异构体        (写结构式)。

    ①含有苯环  ②含有酯基  ③能与新制Cu(OH)2反应

    (3)C中含有的它能团名称是     。已知固体C在加热条件下可深于甲醇,下列CD的有关说法正确的是    

    a.使用过量的甲醇,是为了提高B的产   b.浓硫酸的吸水性可能会导致溶液变黑

    c.甲醇即是反 物,又是溶剂       d.D的化学式为C2H2NO4

    (4)E的同分异构苯丙氨酸经 合反应形成的高聚物是    (写结构简式)。

    (5)已知;在一定条件下可水解为, F在强酸和长时间加热条件下发生水解反应的化学方程式是            

答案:(1)氧化  还原  取代

(2)

(3)硝基 羧基  acd

(4)

(5)

解析:根据前后关系推出BC结构简式即可

(2010福建卷)31从樟科植物枝叶提取的精油中含有下列甲、乙、丙三种成分:

(1)甲中含氧官能团的名称为        

(2)由甲转化为乙需经下列过程(已略去各步反应的无关产物,下同):

其中反应Ⅰ的反应类型为       ,反应Ⅱ的化学方程式为      (注明反应条件)。

(3)已知:

 

由乙制丙的一种合成路线图如下(A~F均为有机物,图中Mr表示相对分子质量):

①下列物质不能与C反应的是     (选填序号)

a.金属钠 b.  c. 溶液 d. 乙酸

②写出F的结构简式       

③D有多种同分异构体,任写其中一种能同时满足下列条件的异构体结构简式   

a.苯环上连接着三种不同官能团 b. 能发生银镜反应

    c.能与发生加成反应  d。遇溶液显示特征颜色

④综上分析,丙的结构简式为       

[解析]答案:

(1)很明显甲中含氧官能团的名称为羟基OH;

(2)甲在一定条件下双键断开变单键,应该发生加成反应;

催化氧化生成Y为;Y在强氧化钠的醇溶液中发生消去反应。

(1)   ①C的结构简式为,不能与碳酸钠反应

②F通过E缩聚反应生成

③D能发生银镜反应,含有醛基,能与发生加成反应,说明含有不饱和双键;遇溶液显示特征颜色,属于酚。综合一下可以写出D的结构简式

④丙是C和D通过酯化反应得到的产物,有上面得出C和D的结构简式,可以得到丙的式子

试题详情

33.(2010山东卷)(8分)[化学--有机化学基础]

利用从冬青中提取出的有机物A合成抗结肠炎药物Y及其他化学品,合成路线如下图:

根据上述信息回答:

(1)D不与NaHC溶液反应,D中官能团的名称是______,BC的反应类型是____。

(2)写出A生成B和E的化学反应方程式______。

(3)A的同分异构体I和J是重要的医药中间体,在浓硫酸的作用下I和J分别生产,鉴别I和J的试剂为_____。

(4)A的另一种同分异构体K用于合成高分子材料,K可由制得,写出K在浓硫酸作用下生成的聚合物的结构简式_______________

解析:由可知,,发生取代反应生成醚;则(官能团是醛基),与足量银氨溶液反应生成,再与反应生成,由结合信息逆推可知H为,因为第一步加入的是溶液,故是酚钠生成酚,是羧酸钠生成羧酸,是硝化反应,故A的结构简式为:,由逆推得I和J结构分别是: ,一种是醇,另一种是酚,故可氯化铁或溴水的鉴别,要生成聚合物,必须两个官能团都发生反应,应发生缩聚反应,故高聚物为

答案:(1)醛基  取代反应

(2)

(3)或溴水

(4)

试题详情

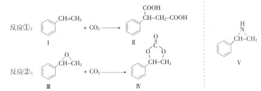
30.(2010广东理综卷)(16分)固定和利用CO2能有效地利用资源,并减少空气中的温室气体。CO2与化合物Ⅰ反应生成化合物Ⅱ,与化合物Ⅲ反应生成化合物Ⅳ,如反应①和②所示(其他试剂、产物及反应条件均省略)。

(1)化合物Ⅰ的分子式为______,1 mol该物质完全燃烧需消耗_______mol O2

(2)由通过消去反应制备Ⅰ的化学方程式为________(注明反应条件)。

(3)Ⅱ与过量C2H5OH在酸催化下发生酯化反应,生成的有机物的结构简式为________。

(4)在一定条件下,化合物V能与CO2发生类似反应②的反应,生成两种化合物(互为同分

异构体),请写出其中任意一种化合物的结构简式:________。

(5)与CO2类似,CO也能被固定和利用。在一定条件下,CO、和H2三者发生反

应(苯环参与反应),生成化合物Ⅵ和Ⅶ,其分子式均为C9H8O,且都能发生银镜反应.下

列关于Ⅵ和Ⅶ的说法正确的有________(双选,填字母)。

A.都属于芳香烃衍生物   B.都能使溴的四氯化碳溶液褪色

C.都能与Na反应放出H2  D. 1 molⅥ或Ⅶ最多能与4 mol H2发生加成反应

解析:(1) Ⅰ的分子式为C8H8,耗氧为(8+8/4)mol=10mol。

(2)根据卤代烃在NaOH、醇溶液作用下可发生消去反应,可写出方程式为:

(3)根据酯化反应原理,可知生成的酯的结构为

(4)反应②可以理解为加成反应,O=C=O断开一个碳氧键,有机物也断开碳氧键加成。由此可类比化合物V的两种产物为。

试题详情

8.(2010天津卷)(18分)

Ⅰ.已知:R-CH=CH-O-R′  R-CH2CHO + R′OH

(烃基烯基醚)

烃基烯基醚A的相对分子质量(M r)为176,分子中碳氢原子数目比为3∶4 。与A相关的反应如下:

请回答下列问题:

⑴ A的分子式为_________________。

⑵ B的名称是___________________;A的结构简式为________________________。

⑶ 写出C → D反应的化学方程式:_______________________________________。

⑷ 写出两种同时符合下列条件的E的同分异构体的结构简式:

_________________________、________________________。

① 属于芳香醛;

② 苯环上有两种不同环境的氢原子。

Ⅱ.由E转化为对甲基苯乙炔()的一条路线如下:

⑸ 写出G的结构简式:____________________________________。

⑹ 写出① ~ ④步反应所加试剂、反应条件和 ① ~ ③ 步反应类型:

序号
所加试剂及反应条件
反应类型

 
 

 
 

 
 

 
--

解析:(1) (2)由B可催化氧化成醛和相对分子质量为60可知,B为正丙醇;由B、E结合题给信息,逆推可知A的结构简式为:

 

(3)C→D发生的是银镜反应,反应方程式为:

(4)符合苯环上有两种不同环境H原子的结构对称程度应较高,有:

(5)(6)生成含有碳碳三键的物质,一般应采取卤代烃的消去反应,故第①步是醛加成为醇,第②步是醇消去成烯烃,第③步是与Br2加成,第④步是卤代烃的消去。

答案:

(1)C12H16O

(2) 正丙醇或1-丙醇    

(3)

(4)

(5)

(6)

序号
所加试剂及反应条件
反映类型

,催化剂(或),
还原(或加成)反应

,
消去反应

(或)
加成反应


     

命题立意:典型的有机推断、有机合成综合性试题,全面考查了有机分子式和结构简式的推导,结构简式和化学方程式的书写,同分异构体的判断与书写,有机合成,和有机信息的理解与应用。全面考查了学生思维能力、分析问题和解决问题的能力。

试题详情

30.(2010全国卷1)(15分)有机化合物A~H的转换关系如下所示:

请回答下列问题:

(1)链烃A有南链且只有一个官能团,其相对分子质量在65~75之间,1 mol  A完全燃烧消耗7 mol氧气,则A的结构简式是     ,名称是     

(2)在特定催化剂作用下,A与等物质的量的H2反应生成E。由E转化为F的化学方程式是                         

(3)G与金属钠反应能放出气体,由G转化为H的化学方程式是        

(4)①的反应类型是        ;③的反应类型是            

(5)链烃B是A的同分异构体,分子中的所有碳原子共平面,其催化氢化产物为正戊为烷,写出B所有可能的结构简式

(6)C也是A的一种同分异构体,它的一氯代物只有一种(不考虑立体异构,则C的结构简式为              

[解析](1)由H判断G中有5个碳,进而A中5个C,再看A能与H2加成,能与Br2加成,说明A中不饱和度至少为2,又据A1mol燃烧,消耗7molO2,故A分子式为:C5H8,再据题意A中只有一个官能团,且含有支链,可以确定A的结构简式如下:(CH3)2CHCCH,命名:3-甲基-1-丁炔(炔烃的命名超纲);

(2)(CH3)2CHCCH与等物质的量的H2完全加成后得到E:(CH3)2CHCH=CH2,E再与Br2加成的反应就很好写了,见答案(2);

(3)二元醇和二元酸发生酯化反应,注意生成的水不能掉了!反应条件用应该也可以,或者用         应该也可以,见答案

(4)反应类型略

(5)难度增大,考查了共轭二烯烃的共面问题,超纲!注意有的同学写CH2=CH-CH2-CH=CH2是不符合一定共面这个条件的,球棍模型为:;CH3CH=CH-CH=CH2(存在顺反异构)是共轭二烯烃,中间单键不能旋转可以满足;CH3CH2CCCH3可以满足,三键周围的四个碳原子是在同一条直线的,那另外那个碳原子无论在哪个位置都是和这4个碳共面的,因为(因为:一条直线和直线外一点确定一个平面)

(6)难度更大,超出一般考生的想象范围,其实在早几年的全国化学竞赛试题里已经考过,要抓住不饱和度为2,,一个三键不能满足1氯代物只有一种,同样两个双键也不能满足,一个环,一个双键也不能满足,逼得你想到两个环,5个碳只能是两个环共一个碳了!

[答案]

[命题意图]考查有机物的转化关系,结构-官能团-性质,这条主线一直是高考的主干题型,今年的题目试图烃和烃的衍生物连续起来考查官能团的转化关系,涉及到具体的知识点有:通过计算确定分子式和结构简式,并对其命名;三键的加成,双键的加成,卤代烃的水解,二元醇与二元酸的酯化;方程式的书写,反应类型的书写,同分异构体的判断与书写。

[点评]继续延续2009年的题型,将烃和烃的衍生物联系起来考查,考了多年未考的炔烃结构简式及其命题(命名是超纲的,与2009年卤代烃的命名一样),(1)~(4)一般考生能顺利完成,(5)难度增大,其中二烯烃的书写,并且要写共面的共轭二烯烃,这实在是能力要求太高,超出教学大纲的要求了,说明命题人不熟悉高中化学课本,这给以后的教学带来误导,给学生增加负担!(6)书写同分异构体要求更是离谱,明显这是竞赛题的要求,而且是前些年竞赛的原题,根本不是高考要求!这里的区分度“很好”,对于参加过化学竞赛辅导的学生很容易做出,而对于其他未参加辅导的同学就显得很不公平了!难道命题人到了江郎才尽,非得借助于竞赛题来命制高考题吗?同分异构体的书写是该加强,但是不能太离谱!不能将高考与竞赛混为一谈,两者虽相通,但是能力要求差别很大,大纲各不相同!

试题详情

11.(2010四川理综卷)中药狼把草的成分之一M具有清炎杀菌作用,M的结构如图所示:

下列叙述正确的是

A. .M的相对分子质量是180

B.1 mol M最多能与2mol 发生反应

C.M与足量的溶液发生反应时,所得有机产物的化学式为

D.1mol M与足量反应能生成2 mol

答案:C

解析:本题考查有机物的性质:A项M的分子式为:C9O4H6其相对分子质量是178,B项1 mol M最多能与3mol 发生反应,除了酚羟基临位可以发生取代,还有碳碳双键可以发生加成。C项除了酚羟基可以消耗2mol,酯基水解也消耗1mol,水解又生成1mol酚羟基还要消耗1mol所以共计消耗4mol.D项酚与碳酸氢钠不反应。所以此题选择C

试题详情

9.(2010江苏卷)阿魏酸在食品、医药等方面有着广泛用途。一种合成阿魏酸的反应可表示为

下列说法正确的是

A.可用酸性

溶液检测上述反应是否有阿魏酸生成

B.香兰素、阿魏酸均可与溶液反应

C.通常条件下,香兰素、阿魏酸都能发生取代、加成、消去反应

D.与香兰素互为同分异构体,分子中有4种不同化学环境的氢,且能发生银镜反应的酚类化合物共有2种

[答案]BD

[解析]本题主要考查的是有机物的结构与性质。A项,能使酸性高锰酸钾溶液褪色的不仅有碳碳双键,酚羟基也能使其褪色;B项,酚羟基和羟基都可以与反应;C项,它们都不能进行消去反应;D项,根据条件,其同分异构体为综上分析可知,本题选BD项。

试题详情

11. 答案B

[解析]本题考查有机物的结构与性质。A项,扑热息痛含有酚烃基,而阿司匹林没有,而酚烃基可以与可发生显色反应,正确。B项,阿司匹林中酯水解生成的酚还要继续与反应,故1mol阿司匹林可消耗3mol,错误。C项,贝诺酯中有两个酯基,这些均为憎水基,故其溶解度小,正确。D项,扑热息痛的水解产物之一为:,其化学式为,正确。

试题详情


同步练习册答案