0  306115  306123  306129  306133  306139  306141  306145  306151  306153  306159  306165  306169  306171  306175  306181  306183  306189  306193  306195  306199  306201  306205  306207  306209  306210  306211  306213  306214  306215  306217  306219  306223  306225  306229  306231  306235  306241  306243  306249  306253  306255  306259  306265  306271  306273  306279  306283  306285  306291  306295  306301  306309  447090 

22. _____impressed the audience most was ____ the magician Liu Qian played in this     year's Spring Gala.

  A. What; what      B. What; that     C. That; what     D. That; that

试题详情

21. -Do you think the weather is good enough for a picnic?

  -Yes. You can't hope for _____ day at this time of the year.

  A. a nice     B. a nicer     C. the nicer      D. the nicest

试题详情

55.(8分)为研究酵母菌发酵的产物,某研究小组设计了如图所示的装置图。①号、②号试管中均加入3mI蒸馏水和少许0.1%溴麝香草酚蓝(简称BTB)溶液,直至溶液呈蓝绿色时为止。(当环境偏酸性时,BTB溶液呈黄色)请回答下列问题:

 (1)该实验是否可以去掉②号试管?     。请说明理由:          

(2)①号试管的现象是           ,其作用是            

(3)该实验中需要等到煮沸的葡萄糖液冷却后才能加酵母菌,原因是       

(4)图乙中哪条曲线能正确表示气泡释放速率的变化?       

(5)若要证明释放的气泡是酵母菌所产生的,就需要设置一个对照实验,该对照实验应在原实验的基础上做哪些改动?                       

试题详情

54.(12分)图1是高等动物细胞亚显微结构示意图,图2中的5个细胞是某种生物不同细胞分裂的示意图。请据图回答以下问题:

(1)图1中不符合孟德尔遗传定律的遗传物质存在于[  ]       中;属于生物膜系统的结构是     (填标号);细胞核是遗传信息库,是细胞       

的控制中心。

(2)该细胞若是蓝藻细胞,除应有细胞壁外,在细胞核中应没有核膜、染色质及[  ]

       ;在细胞质中应只有        (填名称)一种细胞器。

(3)若图1所示细胞为癌变细胞,往往容易扩散转移,这主要是由于细胞膜上的   

     减少所致;若图1是人皮肤生发层的细胞,则该细胞可能会发生类似于图

2中       (写全)时期所示的分裂现象,其中DNA和染色体之比为2:1的是      。(填字母)

(4)图2中的B属于      期;具有同源染色体的细胞是       。(填字母)

(5)图2中的D细胞分裂后产生的子细胞的名称是    

(6)写出以图1中的②为主要场所的化学反应的总反应式

                                   

试题详情

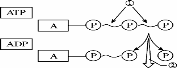
53.(10分)右图表示ATP水解产生ADP过程。请回答下面的问题:

(1)图中A表示     ,P代表        ,如果ATP脱去两个磷酸基后可作       物质基本结构单位中的一种.

(2)图中①     ,其中蕴藏着    

(3)图中②为     过程,其作用是    

(4)图示过程中未标出的另一种反应物是     ,催化该过程的酶与催化ATP再生时的酶     (是/不是)同一种酶,ATP在高等植物细胞中主要分布在            

试题详情

52.(8分)图甲、乙、丙分别表示某植物光合作用速率与光照强度之间的关系、温度与光合速率之间的关系及叶绿体色素对不同波长光线的相对吸收量:

(1)若甲图所示曲线为阴性植物,则阳性植物曲线与此相比较C点_______(_填“上/下/左/右/不变”)移,A点__________(填“上/下/左/右/不变”)移

(2)由乙图知,40℃时,植物体_________(能/不能)显示生长现象;而5℃时状态可用甲图中__________(填“A/B/C”)点表示

(3)用玻璃大棚种植蔬菜时,应选择光强为_______(填“A/B/C”)、温度为_______℃(填一个具体数值),及__________颜色__________(填透明或不透明)的玻璃。

试题详情

51.(12分)下图可表示细胞融合技术的一些过程,请据图回答:

(1)若A、B细胞为动物细胞,从A和B细胞到C细胞的过程中,常用      ___

方法来诱导融合。A、B融合为C的过程说明了细胞膜具有         特性。

(2)若A、B细胞为植物细胞,那么这样的细胞已经用酶降解脱掉了     ,由此生成的A和B细胞称为        ,A、B到C细胞的过程中,常用的物理方法是            ,融合完成的标志是          .

(3)若A细胞为骨髓瘤细胞,B细胞为B淋巴细胞,那么D细胞称为    ______细胞,由D细胞连续分裂产生大量细胞的过程,称为       _____过程,这种细胞既能无限繁殖,又能产生        

(4)若该过程是制备单克隆抗体的过程,在A、B到C的过程中,所形成的C有    种,用来培养的D细胞应该是               ,从中选择出它的方法是

          培养。

试题详情

50.对于多细胞生物而言,下列有关细胞生命历程的说法正确的是(  )

  A.细胞死亡是细胞癌变的结果      B.细胞癌变是所有细胞都要经历的一个阶段

C.细胞衰老时细胞呼吸的速率减慢    D.细胞分化导致细胞中的遗传物质发生改变

试题详情


同步练习册答案