0  306146  306154  306160  306164  306170  306172  306176  306182  306184  306190  306196  306200  306202  306206  306212  306214  306220  306224  306226  306230  306232  306236  306238  306240  306241  306242  306244  306245  306246  306248  306250  306254  306256  306260  306262  306266  306272  306274  306280  306284  306286  306290  306296  306302  306304  306310  306314  306316  306322  306326  306332  306340  447090 

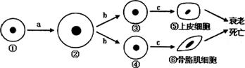
35.下图为人体细胞的分裂.分化.衰老和死亡过程的示意图,图中①-⑥为各个时期的细胞,a-c表示细胞所进行的生理过程。据图分析,下列叙述正确的是   (   )

A.与①相比,②的表面积与体积的比值增大,与外界环境进行物质交换的能力增强

  B.⑤与⑥的基因型相同,蛋白质的种类也相同

  C.若⑤⑥已失去分裂能力,则其细胞内遗传信息的流动方向为DNA→RNA→蛋白质

  D.人在胚胎发育后期尾的消失是由于尾部细胞衰老坏死而实现的

试题详情

34.下图为高等动物的一组细胞分裂图像,下列分析中正确的是                   (   )

  A.乙产生的子细胞基因型为AaBb,丙产生的子细胞的基因型为AB和ab

  B.丙产生子细胞的过程中发生了等位基因分离和非等位基因自由组成

  C.甲形成乙和丙过程中产生的基因突变通常都能遗传到子代个体中

   D.甲、乙、丙中均含有二个染色体组,但只有丙中不含同源染色体

试题详情

33.某同学在培养皿底部铺上棉花并加入适量的清水,然后把有活性且大小相同的豌豆种子各15粒放在棉花上。实验过程与结果如下表,下列叙述正确的是       (   )

装置
场所
温度
棉花状态
数日后的现象




日光
日光
黑暗
黑暗
23℃
23℃
23℃
23℃
潮湿
干燥
潮湿
干燥
全部发芽
没有发芽
全部发芽
没有发芽

    A.该实验研究的目的是:探究光照.温度和水分对种子萌发的影响

    B.该实验的自变量为光照.温度和水分,因变量为种子是否萌发。

    C.该实验选用有活性且大小相同的豌豆作为实验材料属于对无关变量的控制

     D.该实验的结论是:种子萌发只与光照和水分有关

试题详情

32.下面是四位同学的实验操作方法或结果,其中正确的一项是                   (   )

   A.西瓜汁中含有丰富的葡萄糖和果糖,是还原糖鉴定的良好材料

   B.蛋白质鉴定中只加3-4滴B液而不能过量是因为B液中的CuSO4在碱性溶液中生成大量的蓝色Cu (OH) 2沉淀会遮蔽所产生的紫色。

   C.菠菜叶上表皮富含叶绿体,可以用作观察叶绿体的材料

   D.分离叶绿体中的色素时,在滤纸上扩散速度最慢的为叶绿素a,蓝绿色

试题详情

31.下列生理过程与生物膜无关的是                                               (   )

     A.叶肉细胞中H2O在光照下分解       B.唾液腺细胞分泌唾液淀粉酶

     C.tRNA携带氨基酸进入核糖体       D.突触小体释放递质到突触间隙

试题详情

30.下表为学生探究影响酶活性因素的一组实验,请据表分析,如要探究 pH对酶活性的影响,应选择表中的哪些试管?                            (   )

试管
内容物
条件
1
1mL10%鸡蛋清溶液+1mL清水
35℃-38℃水浴
2
1mL10%鸡蛋清溶液+1mL胰蛋白酶
35℃-38℃水浴;pH=5
3
1mL10%鸡蛋清溶液+1mL胰蛋白酶
35℃-38℃水浴;pH=9
4
1mL10%鸡蛋清溶液+1mL胰蛋白酶
4℃水浴;pH=9
5
5mm×5mm毛边纸+1mL胰蛋白酶
35℃-38℃水浴;pH=9
6
5mm×5mm毛边纸+1mL纤维素酶液
35℃-38℃水浴;pH=5

A.4 和 5         B.2 和 3          C.5 和 6         D.1 和 2

试题详情

29.果蝇灰身(B)对黑身(b)为显性,现将纯种灰身果蝇与黑身果蝇杂交,产生的F1代再自交产生F2代,将F2代中所有黑身果蝇除去,让灰身果蝇自由交配,产生F3代。问F3代中灰身与黑身果蝇的比例是                                      (   )

   A.3∶1          B.5∶1           C.8∶1           D.9∶1

试题详情

28.已知一批豌豆种子基因型AA与Aa的数目之比为1:2,将这批种子种下,自然状态下

  (假设结实率相同)其子一代中基因型为AA.Aa.aa的种子数之比为          (   )

   A.4 :4:1       B.3:2:1        C.3 : 5 :l       D.1:2:l

试题详情

27.下图是测定植物某一生命活动过程的装置,从左侧泵入空气后,会产生某些实验现象。下列几种说法中错误的是                                              (   )

      

   A.该实验的目的是测定植物呼吸作用能产生CO2

   B.本实验装置中B瓶的作用是减少实验误差

   C.如果将C瓶中的植物换成萌发的种子,则出现相同的实验现象

   D.把不透光的玻璃罩换作透光的玻璃罩仍能得到同样的实验结果

试题详情

26.表为3个不同小麦杂交组合及其子代的表现型和植株数目。据表分析,下列推断错误的是                 (   )

组合
序号
杂交组合类型
子代的表现型和植株数目
抗病
红种皮
抗病
白种皮
感病
红种皮
感病
白种皮

抗病.红种皮×感病.红种皮
416
138
410
135

抗病.红种皮×感病.白种皮
180
184
178
182

感病.红种皮×感病.白种皮
140
136
420
414

  A.6个亲本都是杂合体                    B.抗病对感病为显性

C.红种皮对白种皮为显性                 D.这两对性状自由组合

试题详情


同步练习册答案