0  317437  317445  317451  317455  317461  317463  317467  317473  317475  317481  317487  317491  317493  317497  317503  317505  317511  317515  317517  317521  317523  317527  317529  317531  317532  317533  317535  317536  317537  317539  317541  317545  317547  317551  317553  317557  317563  317565  317571  317575  317577  317581  317587  317593  317595  317601  317605  317607  317613  317617  317623  317631  447090 

20. (本小题满分14分)

   数列满足:

   (I)若数,求的值;

   (II)若时,证明:

   (III)设数列的前项之积为,若对任意正整数,总有成立,求的去取值范围。

试题详情

19. (本小题满分13分)

   已知两点,曲线上的动点满足

   (I)求曲线的方程;

   (II)若直线经过点,交曲线两点,且,求直线的方程。

试题详情

18. (本小题满分13分)

   在平面直角坐标系中,平面区域中的点的坐标满足,从区域随机取点

   (I)若,求点位于第一象限的概率;

   (II)若,求的概率。

试题详情

17.(本小题满分14分)

   设,函数

   (I)若,求曲线在点处的切线方程;

   (II)求函数上的最小值。

试题详情

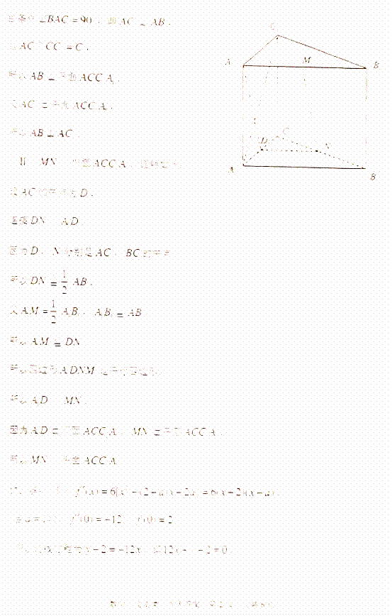
16. (本小题满分14分)

已知三棱柱的侧棱与底面垂直,°,

分别是的中点。

   (I)证明:

   (II)判断直线和平面的位置关系,并加以证明。

试题详情

15. (本小题满分13分)

已知函数

   (I)求

   (II)求的最大值及单调递增区间。

试题详情

14. 设等差数列的前项和为,若,则的最小值为    

试题详情

13. 设函数,若,则的取值范围是     

试题详情

12. 已知,那么的值是      

试题详情

11. 若向量的夹角为30°,,则  

     

试题详情


同步练习册答案