0  330939  330947  330953  330957  330963  330965  330969  330975  330977  330983  330989  330993  330995  330999  331005  331007  331013  331017  331019  331023  331025  331029  331031  331033  331034  331035  331037  331038  331039  331041  331043  331047  331049  331053  331055  331059  331065  331067  331073  331077  331079  331083  331089  331095  331097  331103  331107  331109  331115  331119  331125  331133  447090 

3.曲线在点(1,2)处的切线方程是  ▲ 

试题详情

2.已知复数为实数,则实数m的值为  ▲ 

试题详情

1.命题“”的否定是  ▲ 

试题详情

3.联想着添一添。所谓“添”,是指给陈述对象添加相关信息或材料,从而使陈述的对象具体化,能够传达某种特别情味的语言技巧。如:

“家乡的海却似清水芙蓉的清纯少女。少女是柔和而恬静的,迷人的微笑不时的荡过来,漾开去,荡漾成一条条细细的、密密的海浪;少女又是顽皮而任性的,她会扯着风的手,戏着海水,踩着浪花,肆意的敲打着岩石,疯狂的亲吻着海滩。”

这里比喻、拟人、排比都混合在一起用上了。

“令人不能自拔的,除了牙齿还有爱情。”(台湾歌星齐秦爱情感言)

“诸葛亮出山前,没带过兵;女性头回临盆前,也没生过孩子--为什么用人单位都要求我们有‘工作经验’”?

像这样“添一添”,将陈述的对象具体化,说得形象而浅近了,风趣有味了,易被读者接受了。

[例文借鉴]

象棋哲学

象棋,确实是一个富于智慧的发明。一盘棋就是一个小小的规范社会,每个棋子都有自己的行为规范:车行线、马走日、象飞田、炮打隔山子,小卒子一去不复返……正因为各有各的行为规范,大家都按规矩办事,才使这个小社会有条有理、妙趣横生,使下棋的人百下不厌,其乐无穷。

下棋的人必须按棋的规矩办事,这是获得棋趣的前提。假如有人不讲规矩,随心所欲,来邪的,耍横的,这棋局就乱了套,其中的乐趣也就烟消云散了。

规则是象棋的根本,在规则之内,下棋的人可以运用自己的智慧,可以灵活地调兵遣将,一招一式都显示着自己的谋略和思考,因而在小小象棋盘中,在规则的基础上,任人想象、任人发挥,变化莫测,极为有趣。从这一意义上讲,规则的固定和不变乃至权威,正是象棋中多变复杂、富有情趣的基础,其中的哲学含义自不待言。

象棋的基础是规则,规则的基础是公平。包括老将在内,都有严格的行为规范,并不折不扣地执行。在象棋诸子中,没有超规矩的特殊棋子,这一点很重要。棋子不搞特殊化,没有“我就是法”,我“想干什么就干什么”、“权就是法”那种歪理邪说,棋盘内是一个“小法制社会”,没有半点虚假。

棋局中没有闲子,每个棋子都有自己明确的职责,或负责进攻或负责守卫,或负责配合,总是各司其职,没有一个是滥竽充数的。棋子一致对外,同仇敌忾,从不搞“窝里斗”,不干勾心斗角、同室操戈的蠢事。为了大局的胜利,每个棋子都随时准备做出牺牲。一场棋局的胜利,既有留在棋盘上棋子的功劳,也有“牺牲棋子”的功劳,两者都是胜局的缔造者,不可偏废。棋盘上坚持到最后的棋子,不是惟一的英雄和元勋。它们没有资格居功自傲。这种棋局中的哲学已经超越了原始的竞技范畴,它暗示给世人的是谋生之道、为官之道。对于一个口口声声标榜热爱法制的社会,游戏规则就是平等,就是没有法外之法、权外之权,这一条适合于平民百姓,也适合于国家元首。另外,危机四伏的经济社会,没有开诚布公的合作、肝胆相照的携手,最后只能是人家的附庸。棋局中的哲学也正告诫人们,要始终立足于不败之地,惟有“文官不爱钱,武将不怕死”的劲头儿才有希望。

最难的是太平盛世,功劳远远不够瓜分,祸起萧墙、自相残杀的历史总是从此惊心动魄。棋局里有以身饲虎、杀身成仁的壮举;棋局外,接受过老庄哲学的中国人却没有勇气功成身退。为了高官厚禄、封妻荫子、虚名小利,不惜破坏社会法制,处心积虑,巧取豪夺,到头来“赢得猫来输去牛”。

深谙棋道的人至少也是位哲学家,其中奥妙倘若运用在为人处事上,绝对是棋高一招。

没有想象和联想,哪能成就这样一篇俏皮文章?通篇用比喻论证法,借象棋之题,发挥出一番处事之理。妙!

[例文借鉴]

图书比女人

如果把书的封面比作女人的脸,一个“抓人”的书名,是放电的媚眼;一位名作家的芳名,是诱人的樱唇;封面其他部分的花花绿绿,是女人脸上的姹紫嫣红。敢于素面问世的图书,一般内容有真货;敢于素面朝天的女人,大多是真美人儿。

封面与内容般配的图书和女人越来越少。现在的图书大多是策划、设计出来的,现在的美人大多是手术和涂抹出来的。用心血写一本好书,太难太慢,最快捷的办法就是想一个好名字,设计一个好皮儿;从内容上做一个好女人,太苦太累,最经济的方式就是画出一个亮丽的容颜,让男人一见钟情,一瞥惊魂。所以,现在作者花在内容上的功夫越来越少,女人花在脸上的时间越来越多。

印刷术与美容术与时俱进。书,UV呀,吹凸呀,想怎么漂亮就怎么漂亮;女人,隆鼻呀,美臀呀,想怎么电人就怎么电人。读者和男人,想不上当,也难。在这个读图的年代,图书和女人不再“因为可爱而美丽,不是因为美丽而可爱”,而是“因为美丽而可爱,不是因为可爱而美丽”。

人们经常用书的文体比喻女人的年华:诗歌是少女的情怀,山桃带露,流盼横波;散文是少妇的韵致,软香酥玉,笑花生馨;小说是徐娘的妩媚,丰乳肥臀,柔情似水;论文是老妪的沧桑,面缩山壑,心含止潭。还有坏小子把60岁以后的女人比作考古报告,读者只剩下自己。

有的女人像畅销书,眨眼就成旧挂历;有的女人如新华字典,相随相伴一辈子;有的女人如珍藏本,为拥有而惊喜,为拥有而忧虑;有的女人如豪华精装书,对穷秀才来说,看看还行,但买不起,养不起;有的女人如丛书(离婚带小孩的),男人只要相中了其中的一本,就得消受硬性搭配的无奈;有的女人(闺中怨妇)如书架上尘封的残书,怨恨男人不如更新自己;有的女人(女博士)如学术著作,学术含量越高,销量越少,学历越高,婚嫁越难。

男人总在买书,总在埋怨没有值得读的好书;女人总在买衣服,总在抱怨没有拿得出手的衣服。男人的书可以摆着不看,但别人借了会心疼;男人的女人可以闲着不用,但别人动了要拼命。女人的衣服可以挂着不穿,但不买会更年期发作;男人的书买错了或买重了会很慷慨地送朋友,女人的衣服买错了会对邻居二姐说:“这衣服你穿特合适,便宜卖你吧!”

世界上有好书,但这些书仅仅对那些会读它们的人才是好的;世界上有好女人,但这些女人只有对会欣赏她的男人才是好的。利希滕贝格说:书本是镜子,毛驴朝里看时别想照出圣人来。而且,正如古希腊哲人所说:驴子是宁要草料而不要黄金的。判断一个男人的品位,看他读什么书,看他娶什么女人。

书非借不读,情非偷不美。最好的书,是朋友书架上的书;最心悸的女人,是艳遇的女人。一本喜欢的新书,就是一次艳遇,就是一把激情。教材和必读书目之类,如包办婚姻、如宝钗阿姨,实惠而不可爱,越中规中矩,越枯燥无味。书如林黛玉、如野蛮女友,越妖、越不实用,越可爱。读者朝三暮四,男人喜新厌旧,其实,得陇望蜀和贪婪是人类尤其是男人的通病。

年初读过一篇好玩的文章,标题是《传媒像个女人》,文中说:“如果说女人饶舌、夸张、情绪化,现在的传媒如若按照给女人的这种定义来界定,那么,一定是雌性的。”首先,雌性和传媒想像力都特丰富,而且都往坏里去想;其次,传媒和雌性的注意力都很短,没有一件事,会让其注意力超过三天;另外,女人和传媒都爱赶时髦。书亦如是。

不同年龄、不同场合、不同心情,读不同的书,课堂、枕边、上厕所读书是不同的。同一本书满足上述要求,很难;厨房、沙龙、床上需要不同的女人,记不清是林语堂还是梁实秋说的:“男人希望女人在厨房像泼妇,在沙龙像贵妇,在床上像荡妇。"同一位女人满足上述要求,更难。

唉,希望而已。

女人的头等大事是嫁出去,嫁得好,长相守;图书的首要问题是卖出去,卖得好,畅销书。靠打扮嫁出去的女人一般守不住,靠包装卖出去的图书大多没人读。张爱玲说:“女人的本性里有点狐媚子,正经女人虽然痛恨荡妇,其实若有机会扮个妖妇角色的话,没有一个不跃跃欲试的。”一些人嘴上把畅销书骂得狗血喷头,其实若有机会让他的书畅销的话,没有一个不花枝乱颤的。

男人的大遗憾有二:一是想读书的时候没有钱买书,有钱买书的时候却没有了读书的时间和心情;二是想女人的时候没有吸引女人的资本,有了吸引女人资本的时候却没有了想女人的兴趣和能力。

柏杨问儿子:“你天天看书,怎么不见你写东西?”儿子:“等我书读多了再写。”柏杨:“我要是看遍天下的女人再娶你妈,能有你吗?”不读书当然不能写书,但书是读不完的,该写的时候要写;女人也是阅不尽的,该娶的时候要娶。

读书人,应该博览群书,但必须有自己精读的专业书;作为男人,你可以阅尽人间春色,但真正用爱去精读、去呵护的藏书只有一本,那就是你的妻子。最好是彼此读你,读你千遍也不厌倦!

构思新妙!用了一连串的相似联想,用极为类似情形来比喻描摹,将图书、女人作了异常形象新颖的表达,让读者也随作者的联想而联想,随作者的体会而体会,别具一格,诙谐、幽默、俏皮!

试题详情

2.联想着换一换。同样一个意思,可以有不同的表达方式。我们“换一个说法”,超常规的组合词语,意思没有变,但却可以传达一种新的情趣。

如黄苗子《美丑》中的一段文字:

有一女孩今年十九,生得毫不“沉鱼落雁”。选这个那个“小姐”肯定是没有希望的,连校花、班花都没有人会考虑到她。

倘若还原为“生得一点也不漂亮”或“生得丑极了”,则一点幽默没有,呆板得酷似面瘫者的表情。沉鱼落雁,闭月羞花,这是中国有名的四大美人西施、王嫱、貂蝉、杨玉环,以此换元,自然可以拓宽读者的想象空间。

再如:

“由于公厕稀少且收费,于是出租司机的方便问题成了最不方便的问题。为了多快好省,多拉快跑,辛苦的司机们往往委屈了自己的生理系统,实在打熬不住,就随意停下,随意转个身,随意解决了,很随意的,不随意不行的,几步之外有人群走过仍旧十分自然的进行着。不这样还能怎样?竞争如此激烈,生存如此艰难,因此,方便成了竞争的一部分。”(《厕所没文化》)

试题详情

1.联想着比一比。所谓“比”,就是指作者有话要说,但不单调地直说,而是借助联想和想象以相似、相类或相关甚至相反的事物、情景作比来描述,使道理与形象相得益彰,从而使自己的话变得有趣、易懂、形象,也就是变直说为喻说。欲说女儿腰如何纤细如何婀娜,蠢才直言腰围几何,庸才则辅之以环抱的手势,天才则比描为“杨柳腰”“水蛇腰”之类。经这么一比描,女儿的腰便形象可感了。比较下面两个句子:

①20世纪快要过去了,处于世纪之交的我们回首百年往事……

②20世纪的帷幕正在我们头顶徐徐落下,站在20世纪与21世纪之交的驿站,我们回首百年来并未如烟消散的往事……

比较起来,我们会喜欢第②句,因为第②句形象可感,颇有文采。究其根本,正是有话不直说,以比之法说出的精妙处。“快要过去”用“帷幕徐徐落下”作比描,“世纪之交”用“驿站”作比描,“往事”用“如烟消散”作比描,三组,使同样一个意思表达起来更鲜活,有了情感,有了形象。

试题详情

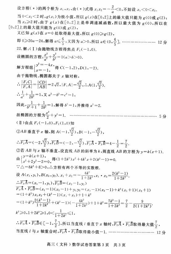
22.(本小题满分12分)

   如图,椭圆的中心在原点,其左焦点与抛物线的焦点重合,过的直线与椭圆交于、两点,与抛物线交于、两点。当直线与轴垂直时,

   (I)求椭圆的方程;

   (II)求的最大值和最小值。

试题详情

21.(本小题满分12分)

   已知定义在上函数,其中为常数。

   (I)若函数在区间上是增函数,求的取值范围;

   (II)若函数,在取得最大值,求正数的取值范围。

试题详情

20.(本小题满分12分)

   甲、乙两人进行某项对抗性游戏,采用“七局四胜”制,即先赢四局者为胜,若甲、乙两人水平相当,且已知甲先赢了前两局,求:

   (I)乙取胜的概率;

   (II)比赛进行完七局的概率;

   (III)记比赛局数为,求的概率。

试题详情

18.(本小题满分12分)

   已知函数

   (I)求函数的最小正周期;

   (II)若对于任意的,使不等式恒成立,求实数的取值范围。19.(本小题满分12分)

   已知梯形中,,,、分别是上的点,的中点,沿将梯形翻折,使平面平面(如图)。

   (I)当时,求证:

   (II)若以、、、为顶点的三棱锥的体积记为,求的最大值。

试题详情


同步练习册答案