0  331366  331374  331380  331384  331390  331392  331396  331402  331404  331410  331416  331420  331422  331426  331432  331434  331440  331444  331446  331450  331452  331456  331458  331460  331461  331462  331464  331465  331466  331468  331470  331474  331476  331480  331482  331486  331492  331494  331500  331504  331506  331510  331516  331522  331524  331530  331534  331536  331542  331546  331552  331560  447090 

3.已知函数y=2sinx的定义域为[a,b],值域为[-2,1],则b-a的值不可能是 (   )

   A.    B.     C.    D.

试题详情

2.已知集合,则中的元素个数为                                (   )

A. 0       B.1       C. 2       D. 3

试题详情

1.复数在复平面内的对应点到原点的距离为               (   )

A.      B.     C.1     D.

试题详情

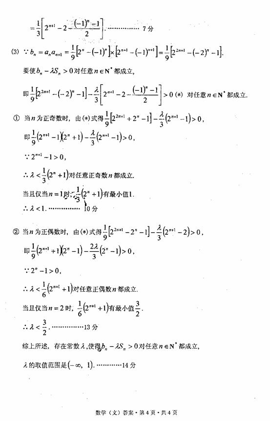
21.(14分)已知数列的相邻两项是关于的方程的两根,且.

⑴求证:数列是等比数列;

⑵求数列的前项和为

⑶是否存在常数,使对任意都成立,若存在,求出的取值范围;若不存在,请说明理由.

试题详情

20.(12分)已知椭圆的上顶点为,左右焦点分别为,直线与圆相切.

⑴求椭圆的方程;

⑵若椭圆内的动点,使成等比数列(为坐标原点).求的取值范围.

试题详情

19.(13分)已知函数.

⑴当时,求曲线在点处的切线方程;

⑵当时,求函数的单调区间与极值.

试题详情

18.(12分)如图,在三棱柱中,的中点,且.

⑴求证:平面

⑵求证:平面

⑶求三棱锥的体积.

试题详情

17.(12分)在锐角中,已知内角的对边分别为.向量,且向量共线.

⑴求角的大小;

⑵如果,求的面积的最大值.

试题详情

16.(12分)某制造商3月生主了一批乒乓球,随机抽样100个进行检查,测得每个球的直径(单位mm),将数据分组如下:

分组
频数
频率

10
 

20
 

50
 

20
 
合计
100
 

⑴请将上表中补充完成频率分布直方图(结果保留两位小数),并在上图中画出频率分布直方图;

⑵若以上述频率作为概率,已知标准乒乓球的直径为40.00mm,试求这批球的直径误差不超过0.03mm的概率;

⑶统计方法中,同一组数据经常用该组区间的中点值(例如区间的中点值是40.00)作为代表.据此,估计这批乒乓球直径的平均值(结果保留两位小数).

 

试题详情

15.数列的前项和为,若数列的各项按如下规律排列:,…, ,…,,…有如下运算和结论:

;②

③数列,…是等比数列;

④数列,…的前项和为

⑤若存在正整数,使,则.

在后面横线上填写出所有你认为正确运算结果或结论的序号      

 

试题详情


同步练习册答案