0  336383  336391  336397  336401  336407  336409  336413  336419  336421  336427  336433  336437  336439  336443  336449  336451  336457  336461  336463  336467  336469  336473  336475  336477  336478  336479  336481  336482  336483  336485  336487  336491  336493  336497  336499  336503  336509  336511  336517  336521  336523  336527  336533  336539  336541  336547  336551  336553  336559  336563  336569  336577  447090 

22.(14分)小明设计了如下图所示的实验装置来证明氧化铜能加快过氧化氢溶液的分解,并与相同条

件下MnO2的催化效果做比较,实验时间均以生成30 mL气体为准(即比较反应速率)。用图示装

置测量产生气体的体积,其它可能影响实验因素均已忽略,相关数据如下:

实验序号
过氧化氢溶液体积
催化剂
待测数据

15mL

 

15mL
CuO(0.5g)
 

15mL
MnO2(0.5g)
 

(1) 检查图(I)装置气密性的方法是:                          

(2)检查图(Ⅱ)装置气密性的方法是:                         

(3)图(Ⅱ)装置中油层的作用是                  

(4)从设计原理看,实验中的“待测数据”可以是指              

(5)为了测量气体体积,在读取反应前后量气管中读数的过程中,应注意     (填字母编号)。

a.视线与凹液面最低处相平       b.读数前不能移动量气管和水准管

c.保持水准管静止,待水准管中液面不再上升时,立刻读数

d.读数前应上下移动水准管,待两管液面相平再读数

(6)如果要进一步探究CuO是否是该反应的催化剂,请完成下列实验。

  实验步骤和现象
设计这一步骤的目的
(1)取15mL过氧化氢溶液,加入0.5g CuO后,产生O2的速率比未加入时快得多
CuO能加快过氧化氢溶液的分解
                 
                 
                 
                

试题详情

21.(8分)大气中CO2含量的增加会加剧温室效应,为寻找处理CO2,减少其排放的方法,某化学兴

趣小组的同学设计了实验室制取CO2,并将CO2转化的实验。制取CO2装置图如下:

 

将CO2转化的实验流程为:

 

回答下列问题: 

(1)写出实验室制取CO2的化学方程式___                

(2)浓硫酸的作用是      _  _         ,收集装置为___  _  _  (填字母)。

(3)实验流程中CO2转化的最终产物为        (填化学式,下同),在此过程中可循环利

用的物质是       

试题详情

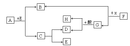
20.(10分)下图表示某些物质间的转化关系(反应条件均略去)。其中A为天然气的主要成分,C为相

对分子质量最小的氧化物,F为红棕色粉末,G为最常见的金属。B、D、E为无色气体。请回答:

 

(1)X是              。(填化学式)。

(2)B物质固态时的名称是    ,该固态物质在实际生活中的一种用途是          

(3)写出下列反应的化学方程式:

  ①A+E→B+C                  

  ②C→D+E                    

③G与E的反应                  

试题详情

19.(5分)下表列出了KNO3在不同温度下的溶解度。

温度/℃
0
20
40
60
80
100
 溶解度/g
13.3
31.6
63.9
110
169
246

(1)由上表可推出KNO3溶解度曲线的变化规律是   

(2)20℃时,把40 g KNO3放入小烧杯中,然后再加100 g水不断搅拌,形成溶液的质量为    g;该溶液是    (填“饱和”或“不饱和”)溶液。

(3)如右图所示,把上述(2)中的小烧杯放到盛水的大烧

杯中。若将少量的下列物质分别小心地加入到大烧杯

的水中,不断搅拌,能够使小烧杯中的KNO3溶液溶质

的质量分数增大的是    (填序号)。

①浓硫酸    ②硝酸铵   ③氢氧化钠   ④冰

试题详情

18.(4分)目前市面上有一种新型饭盒--“即热饭盆”,其原理是在饭盒底部有两层,一层存放水,

另一层存放镁和铁的混合物。使用时打开隔离层,即发生以下反应: Mg+2H2O==X+H2↑。

请根据以上信息回答下列问题:

(1)该饭盒底部“即热”的原理是将______________能转化为热能。

(2)已知X是一种碱,则X的化学式是_______,你推断X的化学式的依据是_______________。

(3)上述化学反应属于______________(填写基本反应类型)。

试题详情

17.(4分)月球的沙土中含有丰富钛铁矿,主要成分为TiO2、Fe2O3,若用CO还原这种矿石,其中生

成铁的化学方程式为:________________________;用稀盐酸清洗铁钉表面的铁锈(主要成分是Fe2O3),其化学方程式为:___________________________。

试题详情

16.(5分)水是一种重要的物质,在实验室和日常生活中有着十分重要的作用。

(1)请列举二个水在实验室中的用途           、         

(2)硬水会给生产和生活带来许多不便,生活中可用      的方法降低它的硬度;

(3)农业和园林浇灌植物时,将大水漫灌改为喷灌、滴灌的目的是          

(4)下列各项与自来水的净化过程无关的是       (填标号);

A.吸附       B.消毒       C.电解     D.过滤

试题详情

15.(4分) 用适当的数字和符号填空:

(1)4个五氧化二磷分子________________________;  

(2)2个氢氧根离子  _________________________;

(3)n个亚铁离子______________________________;   

(4)海水“制碱”得到的“碱”__________________;

试题详情

14.对下列实验操作和现象的分析合理的是

A.采用闻气味的方法快速区别厨房用品醋和白酒

B.往溶液中滴加氯化钡溶液有白色沉淀,该沉淀一定是BaSO4

C.加入足量稀盐酸可以除去硫酸镁溶液中混有少量的氧化镁

D.降温某溶液有晶体析出,该原溶液一定是饱和溶液

试题详情

13.现有HCl与CaCl2的混合溶液,向其中逐滴加入过量某物质X,

溶液的pH随滴入X的量的变化关系如右图所示。

则X是 

A.水          B.澄清石灰水

C.纯碱溶液       D.稀盐酸

试题详情


同步练习册答案