0  338122  338130  338136  338140  338146  338148  338152  338158  338160  338166  338172  338176  338178  338182  338188  338190  338196  338200  338202  338206  338208  338212  338214  338216  338217  338218  338220  338221  338222  338224  338226  338230  338232  338236  338238  338242  338248  338250  338256  338260  338262  338266  338272  338278  338280  338286  338290  338292  338298  338302  338308  338316  447090 

 下图是“我国某地地形和构造剖面图”,读图回答7-8题:

    

 7. 有关该地河谷地形的成因,正确的说法是:

  A.背斜顶部受张力,受流水侵蚀作用形成

B.向斜岩层向下弯曲,河流携带泥沙沉积形成的

C.岩层断裂下陷,河流携带泥沙沉积形成的

D.岩层断裂上升,受流水侵蚀作用形成

8.图中甲山脉如果是大兴安岭,则下列说法正确的是:

A. 该山脉的东侧是东北平原主要发展种植业

B. 该山脉的东侧河流有两个汛期是夏汛和秋汛

C.该山脉是我国的800mm等降水量线 

D.该山脉的西侧是黄土高原,水土流失比较严重

试题详情

读世界四个地区的气候统计资料,回答5-6题:

5.危害柑橘的地中海蜡实蝇生活的最适宜温度和湿度

范围是16℃-32℃和75%-85%,其中四个地区

最适宜蜡实蝇生活的是:

 A.喀土穆      B.巴黎 

C.安卡拉      D.火奴鲁鲁

6.安卡拉的气候特征与下列那种气候的特征最相似:

  A.温带海洋性气候  

B.温带季风气候  

C.地中海气候 

D.亚热带季风气候

试题详情

下图是“某地地形简图”,M点位于36.5°N。两中学生分别到达P、M点.测量并计算出两点相对高度是288米。读图回答3-4题。

3.图中P.Q两点之间的四条小路中起伏最小的是                        

   A.①       B.②           C.③       D.④

4.冬至日正午,M峰顶的影子正好移至P点,则P-M之间的水平距离大约是

   A.300米       B.400米         C.500米       D.600米

试题详情

下图是全球某日某时刻的昏线(线上的数据为经度)。据此回答1-2题。

1.此时北京时间为   A. 14:40  B. 9:20 C. 21:20  D. 15:20 2.若c点为69°N,则下列说法正确的是   A. 天山牧民利用云杉林以下的牧场放牧 B. 北半球各地昼短夜长  C. 南极大陆终日斜阳          D. 黄淮海平原土壤盐分全年最低

试题详情

(二)选考题:(共15分,请考生从给出的3道试题中任选一题做答。如果多做,则按所做的第一题计分。)

29.[化学一一选修化学与技术](15分)

硫酸工厂排放的尾气中,含少量的二氧化硫。为防止污染大气,在排放前必需进行尾气处理并设法进行综合利用。

  (1)硫酸工厂排放尾气中的SO2通常用足量石灰水吸收,然后再用稀硫酸处理。

①写出上述过程的化学反应方程式:

                                

②请说出这种尾气处理方法的优点(说出两点即可)

                                      

③若某硫酸厂每天排放的1万米3。(标准状况)尾气中含0.2%(体积百分数)的SO2,通过上述方法处理,理论上需生石灰       kg。

  (2)近闻美国和日本正在研究用Na2SO3吸收法作为治理SO2污染的一种新方法,该方法:第一步是用Na2SO3水溶液吸收SO­2,第二步是加热吸收溶液,可得到含高浓度SO2的水蒸气副产品。

     这种尾气处理方法与(1)相比的优点是                 

    (3)某研究小组用NaOH溶液吸收尾气中的二氧化硫,将所得的Na2SO。溶液进行电解循环再生,这种新工艺叫再生循环脱硫法;其中阴阳膜组合循环再生机理如A图,a、b离子交换膜将电解槽分为三个。区域,电极材料为石墨。 

①图中a表示      离子交换膜(填“阴”或“阳”)。A-E分别代表生产中的原料或产品,其中C为硫酸,则A表示   ,E表示      

②阳极的电极反应式为          

  30.[化学一一选修物质结构与性质](15分)

有A、B、C、D、E、F六种元素,A是周期表中原

子半径最小的元素,B是电负性最大的元素,C的2p轨

道中有三个未成对的单电子,F原子核外电子数是B与

C核外电子数之和,D是主族元素且与E同周期,E能

形成红色(或砖红色)的E2O和黑色的EO两种氧化物,

D与B可形成离子化合物其晶胞结构如右图所示。请

回答下列问题。

  (1)E元素原子基态时的电子排布式为      

  (2)A2F分子中F原子的杂化类型是      ,F的氧化物FO3分子空间构型为

           

  (3)CA3极易溶于水,其原因主要是            ,试判断CA3溶于水后,形成CA3·H2O的合理结构           (填字母代号),推理依据是:

                                   

  (4)从图中可以看出,D跟B形成的离子化合物的化学式为           ;该离子化合物晶体的密度为ag·cm-3。,则晶胞的体积是      (写出表达式即可)。

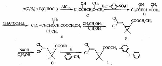
31.[化学一一选修有机化学基础](15分)

   高效低毒杀虫剂氯菊酯(I)可通过下列合成路线制备:

   

  (1)化合物A能使溴的四氯化碳溶液褪色

①A的化学名称是          ,B的结构简式       

②化合物I中官能团的名称是           

③在化合物E转化成化合物F的反应中,能否用NaOH/C2H5OH代替C2H5Ona/C2 H5OH溶液?       (填“能”或“不能”),其原因是         

                       

    ④化合物H的结构简式为,写出由G生成I的化学反应方程式

  (2)芳香化合物J比F少两个氢,J的分子核磁共振氢谱有三个峰,峰面积之比是9:2:1,则J可能的结构简式为(写出1种即可)

                                

试题详情

(一)必考题(本大题共5题,共44分)

24.(9分)

元素A、B、C、D是元素周期表中短周期的四种元素,请根据表中信息回答下列问题。

元素
A
B
C
D
性质结构信息
单质在氯气中燃烧火焰呈黄色并产生大量白烟,所得产物的阳离子与E的阳离子电子数相同。
单质是带有金属光泽的灰黑色固体,是信息技术的关键材料。
最高价氧化物的水化物与其气态氢化物反应得到离子化合物E。
氧化物是一种耐火材料,能溶于A的最高价氧化物的水化物得到F。

  (1)写出B在元素周期表的位置_______________________

  (2)E的阳离子的电子式_____________检验E中阳离子的实验方法是_______________

     ______________________________________________________________________

  (3)写出D单质直接转化成F的离子方程式__________________________________

  (4)E的水溶液呈_________(填“酸性”、“碱性”或“中性”),其原因用离子方程式表示为_________________________________________________________________

25.(7分)

在一定温度下,将0.20molN2O4气体充入2.0L密闭容器中,间隔一定时间对该容器的气体进行分析数据如下:

时间 (s)
0
20
40
60
80
c(N2O4)mol/L
0.10
C1
0.050
C3
C4
c(NO2)mol/L
0.00
0.060
C2
0.12
0.12

  (1)该反应的平衡常数表达式为________________________________,计算20s到40s二氧化氮的平均反应速率v(NO2)===____________

  (2)若在相同条件下最开始充入的是NO2气体,使得达到上述同样的平衡状态,NO2的起始浓度是___________

  (3)若在相同条件下起始时充入的NO2气体0.16mol,要计算达到平衡时NO2的转化率,请写出分析求解的思路(不必计算具体结果)____________________________

26.(7分)

某化学实验小组将适量浓硝酸分多次滴加入到足量铜粉、足量稀硫酸的混合物中,加热使之反应完全,通过过滤、蒸发、结晶来制得硫酸铜晶体(装置如图1、2所示)。

   

  (1)写出圆底烧瓶中开始阶段发生反应的化学方程式            

  (2)把浓硝酸分多次加入到铜粉与稀硫酸的混合物中的目的是        

  (3)图2是图1的改进装置,其优点有                    

27.(11分)

甲醚(CH3OCH3)被称为21世纪的新型燃料,它清洁、高效、具有优良的环保性能,甲醚是一种无色气体,具有轻微的醚香味,其燃烧热为1455 kJ/mol,甲醚可作燃料电池的燃料。工业上用合成气(CO、H2)直接或间接制取甲醚。

  (1)写出甲醚燃烧的热化学方程式                    

    (2)已知H2(g)和C(s)的燃烧热分别是285.8 kJ·mol-1、393.5 kJ·mol-1;计算反应4C(s)+6H2(g)+O2(g)==2CH2OCH3(g)的反应热为         

  (3)以甲醚、空气、氢氧化钾溶液为原料,石墨为电极

可构成燃料电池。该电池的负极反应式为    

      

从能量角度分析甲醚用作燃料电池与直接燃烧相比

主要的优点是    

  (4)用(3)中的燃料电池为电源,以石墨为电极电解

500 mL滴有酚酞的:NaCl溶液,装置如图所示:

①请写出电解过程中Y电极附近观察到的现象

                   

②当燃料电池消耗2.8 LO2(标准状况下)时,计算

此时:NaCl溶液的pH=     (假设溶液的体积不变,气体全部从溶液中逸出)。

28.(10分)

  下图表示有关物质(均是中学化学常见的物质)之间的转化关系(其中部分参加反应的水和生成的水未列出),其中B、C为金属单质,E为非金属单质,其余均为化合物,Y、Z的组成元素相同,D为淡黄色的固体。回答系列问题:

  (1)B与甲稀溶液不反应,但与甲的浓溶液在加热条件下能反应。则甲为      ,C为       (填写化学式)。

     A与B物质的量应满足的关系为                  

  (2)写出反应③的化学方程式                      

  (3)反应②观察到溶液由无色变成蓝色,并且有无色气泡产生。请写出反应②发生的化学反应方程式                     ,并分析产生气体的原因                      

试题详情

23.将17.9 gAl、Fe、Cu组成的合金溶于足量的:NaOH溶液中,产生气体3.36 L(标准状况)。另取等质量的合金溶于过量的稀硝酸中,生成6.72 LNO(标况),向反应后的溶液中加入过量的NaOH溶液,得到沉淀的质量为                           (   )

A.33.2 g          B.25.4 g           C.22.4 g           D.19.6 g

第Ⅱ卷(非选择题,59分)

试题详情

22.下列选项中,微粒的物质的量浓度关系正确的是                             (   )

     A.0.1mol/L的Na2CO3溶液中:c(OH-)==c(HCO-3)+c(H+)+c(H2CO3)

     B.0.1mol/LNH4Cl的溶液与0.5mol/L的NaOH溶液等体积混合后,得到的溶液中:

    c(Cl-)>c(Na+)>c(NH+4)>c(OH-)>c(H+)

     C.向硝酸钾溶液中滴加稀盐酸得到pH=4的混合溶液:c(K+)==c(NO-3)

     D.浓度分别为0.1mol/L和0.01mol/L的CH3COOH溶液中:

CH3COO-离子浓度前者是后者的10倍

试题详情

20.A、B、C、D、E五种元素具有相同的电子层数,A和B的最高价氧化物对应的水化物呈碱性,且碱性B>A;C和D的气态氢化物的水溶液呈酸性,且酸性C>D;五种元素所形成的简单离子中,E的离子半径最小,则它们的原子序数由大到小的顺序是  (   )

   A.CDEAB          B.:ECDAB    C.BAEDC           D.BADCE

  21.下图装置可用于收集气体X并验证其某些化学性质,你认为正确的是          (   )

选项
气体
试剂
现象
结论
A
SO2
酸性KMnO4溶液
溶液褪色
SO2有氧化性
B
C2H4
溴水
溶液褪色
能发生加成反应
C
X
澄清石灰水
溶液变浑浊
X不一定是CO2
D
Cl2
紫色石蕊试液
溶液先变红后褪色
Cl2有酸性和漂白性

试题详情

19.有一固体混合物,可能由Na2CO3、Na2SO4、CuSO4、CaCl2、NaCl混合而成,为检验它的成分做了如下实验:①将固体混合物溶于水,搅拌后得无色透明溶液;②往此溶液中滴加硝酸钡溶液,有白色沉淀生成;③过滤,将沉淀物置于稀硝酸中,发现沉淀全部溶解。则该固体混合物中                                  (   )

   A.肯定有Na2SO4   可能有CuSO4       B.一定有NaCl  肯定没有Na2SO4

   C.一定有Na2CO3  可能有NaCl        D.可能有CaCl2  一定没有CuSO4

试题详情


同步练习册答案