0  338642  338650  338656  338660  338666  338668  338672  338678  338680  338686  338692  338696  338698  338702  338708  338710  338716  338720  338722  338726  338728  338732  338734  338736  338737  338738  338740  338741  338742  338744  338746  338750  338752  338756  338758  338762  338768  338770  338776  338780  338782  338786  338792  338798  338800  338806  338810  338812  338818  338822  338828  338836  447090 

6.在等差数列中,若.则的前IO项和

(A)70   (B)80   (C)90   (D)IOO

试题详情

5.某篮球运动员在三分线投篮的命准率为,他投篮5次,恰好投准3次的概率为

(A)    (B)    ( C)   (D)

试题详情

4.下列四个数中,最大的一个是

  (A)   (B)   (C)   (D)

试题详情

3.在△ABC中,若,则△ABC的形状为

  (A)直角三角形   (B)等边三角形   (c)等腰三角形   (D)等腰直角三角形

试题详情

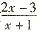
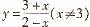
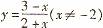
2.  函数的反函数为

   (A)  (B)  (C)  (D)

试题详情

1.已知集合.则=

   (A)   (B)   (C)   (D)

试题详情

3.电场力做的功等于电势能的变化量。

题型6.(功能关系在电磁感应中的应用)两根足够长的光滑导轨竖直放置,间距为L ,底端接阻值为R 的电阻。将质量为m的金属棒悬挂在一个固定的轻弹簧下端,金属棒和导轨接触良好,导轨所在平面与磁感应强度为B 的匀强磁场垂直,如图所示。除电阻R 外其余电阻不计。现将金属棒从弹簧原长位置由静止释放.则

A.释放瞬间金属棒的加速度等于重力加速度g

B.金属棒向下运动时,流过电阻R 的电流方向为a→b

C.金属棒的速度为v时.所受的安培力大小为F =

D.电阻R 上产生的总热量等于金属棒重力势能的减少

解析:在释放的瞬间,速度为零,不受安培力的作用,只受到重力,A对。由右手定则可得,电流的方向从b到a,B错。当速度为时,产生的电动势为,受到的安培力为,计算可得,C对。在运动的过程中,是弹簧的弹性势能、重力势能和内能的转化,D错。

题型7.(功能关系在混合场内的应用)如图所示,MN是一固定在水平地面上足够长的绝缘平板(左侧有挡板),整个空间有平行于平板向右、场强为E=2N/C的匀强电场,在板上C点的左侧有一个垂直于纸面向外、磁感应强度为B=1T的匀强磁场,一个质量为m=4×10-3kg、带负电的小物块,带电量q=10-2C,从C点由静止开始向左先做加速运动再做匀速运动. 当物体碰到左端挡板后被弹回,若在碰撞瞬间将电场改为竖直向下,大小不变. 小物块返回时在磁场中恰做匀速运动,已知平板MC部分的长度为L=5m,物块与平板间的动摩擦因数为μ=0.2,求:

  (1)小物块向左运动过程中克服摩擦力做的功W

  (2)小物块与左端挡板碰撞过程损失的机械能△E

  (3)小物块从与 左挡板碰后到最终静止所用时间t

  (4)整个过程中由于摩擦产生的热量Q.

解析:设小物块向左匀速运动时的速度大小为v1,由平衡条件有

   ①

设小物块在向左运动过程中克服摩擦力做的功为W,由动能定理有

   ②

由①②式解得    ③

(2)设小物块返回时在磁场中匀速运动的速度大小为v2,与右端挡板碰撞过程损失机构能为,则有  ④

  ⑤

由③⑤⑥式解得   ⑥

(3)小物块由M到C匀速运动,时间为  ⑦

小物块由C到静止匀减速运动,  ⑧

时间为   ⑨

总时间为 t=t1+t2=4.5s   ⑩

(4)对全过程,由能量守恒定律有  11

    12

(或

由⑤⑧式解得    13

评分标准:①式2分,其余各1分,共14分

试题详情

2.电场力做功与路径无关,W=qU。

试题详情

题型1.(功能关系的应用)从地面竖直上抛一个质量为m的小球,小球上升的最大高度为H。设上升过程中空气阻力为F恒定。则对于小球上升的整个过程,下列说法错误的是(   

A.    小球动能减少了mgH

B.    小球机械能减少了FH

C.    小球重力势能增加了mgH

D.    小球加速度大于重力加速度g

解析:由动能定理可知,小球动能的减小量等于小球克服重力和阻力F做的功 为(mg+F)H,A错误;小球机械能的减小等于克服阻力F做的功,为FH,B正确;小球重力势能的增加等于小球小球克服重力做的功,为mgH,C正确;小球的加速度,D正确。

规律总结:功是能量转化的量度,有以下几个功能关系需要理解并牢记

⑴重力做功与路径无关,重力的功等于重力势能的变化

⑵滑动摩擦力(或空气阻力)做的功与路径有关,并且等于转化成的内能

⑶合力做功等于动能的变化

⑷重力(或弹力)以外的其他力做的功等于机械能的变化

题型2.(功率及机车启动问题)

 

 

审题指导:1.在汽车匀加速启动时,匀加速运动刚结束时有两大特点

⑴牵引力仍是匀加速运动时的牵引力,即仍满足

2.注意匀加速运动的末速度并不是整个运动过程的最大速度

题型3.(动能定理的应用)如图所示,竖直平面内的轨道ABCD由水平轨道AB与光滑的四分之一圆弧轨道CD组成,AB恰与圆弧CDC点相切,轨道固定在水平面上。一个质量为m的小物块(可视为质点)从轨道的A端以初动能E冲上水平轨道AB,沿着轨道运动,由DC弧滑下后停在水平轨道AB的中点。已知水平轨道AB长为L。求:

(1)小物块与水平轨道的动摩擦因数

(2)为了保证小物块不从轨道的D端离开轨道,圆弧轨道的半径R至少是多大?

(3)若圆弧轨道的半径R取第(2)问计算出的最小值,增大小物块的初动能,使得小物块冲上轨道后可以达到最大高度是1.5R处,试求物块的初动能并分析物块能否停在水平轨道上。如果能,将停在何处?如果不能,将以多大速度离开水平轨道?

解析:(1)小物块最终停在AB的中点,在这个过程中,由动能定理得

 

得 

(2)若小物块刚好到达D处,速度为零,同理,有

解得CD圆弧半径至少为 

(3)设物块以初动能E′冲上轨道,可以达到的最大高度是1.5R,由动能定理得

 

解得

物块滑回C点时的动能为,由于,故物块将停在轨道上

设到A点的距离为x,有    

解得    

即物块最终停在水平滑道AB上,距A处。 

规律总结:应用动能定理要比动力学方法方便、简洁。只有应用动力学方法可以求解的匀变速直线运动问题,一般应用动能定理都可以求解。尽管动能定理是应用动力学方法推导出来的,但它解决问题的范围更广泛。

题型4.(综合问题)滑板运动是一项陆地上的“冲浪运动”,滑板运动员可在不同的滑坡上滑行,做出各种动作给人以美的享受。如图甲所示,abcdef为同一竖直平面上依次平滑连接的滑行轨道,其中ab段水平,H=3m,bc段和cd段均为斜直轨道,倾角θ=37º,de段是一半径R=2.5m的四分之一圆弧轨道,o点为圆心,其正上方的d点为圆弧的最高点,滑板及运动员总质量m=60kg,运动员滑经d点时轨道对滑板支持力用Nd表示,忽略摩擦阻力和空气阻力,取g=10m/s2,sin37º=0.6,

cos37º=0.8。除下述问(3)中运动员做缓冲动作以外,均可把滑板及运动员视为质点。

(1)运动员从bc段紧靠b处无初速滑下,求Nd的大小;

(2)运动员逐渐减小从bc上无初速下滑时距水平地面的高度h,请在图乙的坐标图上作出Nd-h图象(只根据作出的图象评分,不要求写出计算过程和作图依据);

(3)运动员改为从b点以υ0=4m/s的速度水平滑出,落在bc上时通过短暂的缓冲动作使他只保留沿斜面方向的速度继续滑行,则他是否会从d点滑离轨道?请通过计算得出结论

解析:解:(1)从开始滑下至d点,由机械能守恒定律得

      ①(1分)

    ②(1分)

由①②得:   ③(1分)

 (2)所求的图象如图所示(3分)

  (图线两个端点画对各得1分,图线为直线得1分)

 (3)当以从b点水平滑出时,运动员做平抛运动落在Q点,如图所示。设Bq=,则

    ④(1分)

    ⑤(1分)

  由④⑤得

⑥(1分)

    ⑦(1分)

在Q点缓冲后

 ⑧(1分)

   ⑨(1分)

运动员恰从d点滑离轨道应满足:   ⑩(1分)

由⑨⑩得

  即   ⑩(1分)

可见滑板运动员不会从圆弧最高点d滑离轨道。(1分)

题型5.(功能关系在电场中的应用)如图所示匀强电场E的区域内,在O点处放置一点电荷 +Q a、b、c、d、e、f为以O点为球心的球面上的点,aecf平面与电场平行,bedf平面与电场垂直,则下列说法中正确的是

A.b、d两点的电场强度相同

B.a点的电势等于f点的电势

C.点电荷+q在球面上任意两点之间移动时,电场力一定做功

D.将点电荷+q在球面上任意两点之间移动,从球面上a点移动到c点的电势能变化量一定最大

解析:由于点电荷+Q在b、d两点的场强方向分别向上和向下,b、d两点的场强大小相同,方向不同,A错;a点和f点位于+Q形成电场的等势面上,但若把一电荷从a点移动到f点,电场E要对电荷做功,B错;当点电荷+q在bedf面上任意两点间移动时,电场力不做功,C错;球面上相距最远的点(沿场强E的方向)是ac,电场E对其做功最大,电势能的变化量最大。

规律总结:1.在等势面上移动电荷是,电场力不做功。

试题详情

此专题复习时,可以先让学生完成相应的习题,在精心批阅之后以题目带动知识点,进行适当提炼讲解。这一专题的知识点高考要求普遍较高,属于必考知识点。二轮复习时还是要稳扎稳打,从基本规律,基本解题步骤出发再进行提升。因为这部分的综合题较多,功和能仅仅是在解题中应用的物理规律而以。

试题详情


同步练习册答案