0  338644  338652  338658  338662  338668  338670  338674  338680  338682  338688  338694  338698  338700  338704  338710  338712  338718  338722  338724  338728  338730  338734  338736  338738  338739  338740  338742  338743  338744  338746  338748  338752  338754  338758  338760  338764  338770  338772  338778  338782  338784  338788  338794  338800  338802  338808  338812  338814  338820  338824  338830  338838  447090 

6. 根据现代生物进化理论,下列关于生物进化的叙述,正确的是

    A、环境改变使生物产生定向的变异

    B、个体是生物进化的基本单位

    C、现代生物进化理论的核心是自然选择学说

    D、隔离决定了生物进化的方向

试题详情

5. 人体组织细胞从组织液中吸收甘油的量主要取决于

    A、组织液中甘油的浓度               B、细胞膜上甘油载体的数量

    C、细胞呼吸强度                     D、细胞膜上载体的种类

试题详情

4. 下列关于酶的叙述,不正确的是

    A、绝大多数酶的化学本质是蛋白质

    B、能够催化脂肪酶水解的酶是脂肪酶

    C、酶的催化效率高是因为其降低活化能的作用显著

    D、酶催化的化学反应一般是在比较温和的条件下进行的

试题详情

3. 下列哪组物质是由许多单体连接而成的多聚体

    A、纤维素、脱氧核糖核酸           B、蛋白质、核糖核苷酸

    C、葡萄糖、核糖核酸             D、氨基酸、糖原

试题详情

2. 下列关于构成细胞的元素和化合物的叙述,正确的是

    A、淀粉和糖原的化学元素组成主要是C、H、O

    B、固醇是细胞内良好的储能物质

    C、蛋白质是细胞内携带遗传信息的物质

    D、DNA和RNA的化学组成元素相同

试题详情

1. 下列四种疾病的病原体不具有细胞结构的是

    A、肺结核                          B、破伤风

    C、甲型流感                         D、细菌性痢疾

试题详情

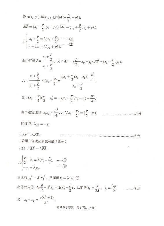
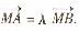
21.本小题满分12分

  抛物线的焦点为F,M为其准线上一点,直线MF与抛物线交与A、B两

  点,已知 (1)求证;(2)当时,求直线AB的方程.

22本小题满分12分

  设函数以

  (1)讨论函数的单调性;

  (2)设函数在区间内是减函数,求a的取值范围.

试题详情

20.本小题满分12分

  在公差不为零的等差数列中,已知,且成等比数列,求

  数列的前30项的和

试题详情

19.(本小题满分12分)

  加工某种零件需要经过三道工序,设第一、二、三道工序的合格率分别为

 且各道工序互不影响.

  (1)求该种零件的合格率;

  (2)从该种零件中任取3件,求恰好取到一件合格品的概率.

试题详情

18.本小题满分12分

  如图(1),AABC是等腰直角三角形,AC =BC =4,E、F分别为AC、AB的中点,将AABC沿

  EF折起,使A’在平面BCEF上的射影O恰为EC的中点,得到图(2).

  (1)求证:EF⊥A'C;

  (2)求二面角A’-BC -E的大小;

  (3)求三棱锥F-A'BC的体积,

   图(1)   图(2)

试题详情


同步练习册答案