0  341744  341752  341758  341762  341768  341770  341774  341780  341782  341788  341794  341798  341800  341804  341810  341812  341818  341822  341824  341828  341830  341834  341836  341838  341839  341840  341842  341843  341844  341846  341848  341852  341854  341858  341860  341864  341870  341872  341878  341882  341884  341888  341894  341900  341902  341908  341912  341914  341920  341924  341930  341938  447090 

4.曲线处的切线方程为                             (   )

A.      B.   C.   D.

试题详情

3.A解析:为奇函数,故B、C不能选.当时,,故选A.

试题详情

3.函数的图像为        (   )

试题详情

2.D解析:180+181+170+173+17x+178+179=7×177,解得x=8

试题详情

2.一次选拔运动员,测得7名选手的身高(单位cm)分布茎叶图如图,

记录的平均身高为177cm,有一名候选人的身高记录不清楚,其末位数记为x,那么x的值为                           (   )

    A.5             B.6             C.7             D.8

试题详情

1.B解析:,∴,故

试题详情

1.已知全集集合=

                                                                (   )

    A.               B.

    C.                D.

试题详情

34.(7分)萌发的禾谷类种子中淀粉酶的含量显著增高,主要有α-淀粉酶和β-淀粉酶。α-淀粉酶不耐酸、较耐热,在pH为3.6、0℃下可迅速失活,而β-淀粉酶耐酸、不耐热,在70℃条件下15min后失活。根据它们的这种特性,可分别测定一种酶的催化效率。某实验小组进行了“提取小麦种子中α-淀粉酶并测定α-淀粉酶催化淀粉水解的最适温度”等相关实验。

     实验材料:萌发3天的小麦种子(芽长约1cm)。

     主要试剂及仪器:1mg/mL的标准麦芽糖溶液、5%的可溶性淀粉溶液、碘液、蒸馏水、石英砂、恒温水浴锅等。

     实验步骤:

     步骤一:制备酶溶液。

 

     步骤二:略。

     步骤三:取 6支干净的、体积相同并具刻度的试管依次编号,按下表要求加入试剂,再观察各试管内的颜色变化(注:+表示碘液变蓝色,-表示碘液不变色)。

试管编号
1
2
3
4
5
6
5%的可溶性淀粉溶液(mL)
8
8
8
8
8
8
恒温水浴5min(℃)
0
20
40
60
80
100
α-淀粉酶保持活性而β-淀粉酶失去活性的溶液 (mL)
1
1
1
1
1
1
恒温水浴5min(℃)
0
20
40
60
80
100
溶液混合,振荡后恒温水浴5min(℃)
0
20
40
60
80
100
加入碘液,振荡后观察颜色变化
+++
++
+
-
++
+++

     请回答下列问题:

  (1)资料表明:小麦种子发芽时,胚产生赤霉素,赤霉素扩散到糊粉层,诱导淀粉酶的合成。赤霉素诱导淀粉酶合成的主要机理是        。选用萌发的小麦种子提取酶液的主要理由是        

  (2)步骤二的具体操作是                                   

  (3)加入碘液,振荡后观察颜色变化,发现试管4中碘液不变色,能否据此推断α-淀粉酶的最适合温度一定是60℃?       。理由是                   。该实验中不能选用斐林试剂检测实验结果的主要原因是        

  (4)若要进一步研究小麦种子中β-淀粉酶的最适温度,则需获得β-淀粉酶保持活性而α-淀粉酶失活的酶溶液。请简要写出制备该种酶溶液的方法:       

试题详情

33.(7分)基因敲除是根据DNA重组原理发展起来的一门新兴技术。通常用设计好的DNA片段替代动物细胞内的基因片段,从而达到基因敲除的目的。运用基因敲除技术构建基因敲除动物模型是研究基因功能中较为普遍的一种方法,其基本原理如下图所示。

     请回答下列问题:

  (1)在将目的基因导入受体细胞前,需要构建一个基因表达载体。一个理想的基因表达载体,通常由启动子、终止子、目的基因和        等四部分组成。在此过程中,所需使用的相关工具酶是            

  (2)如果要获得一只含目的基因的小鼠,则选择的受体细胞通常为         ,基因导入该细胞时,可以采用           等方法。

  (3)上述途径所获得的动物,其后代并非每一个个体都含目的基因,原因是     

  (4)假设通过基因敲除构建了一个非球形红细胞性贫血(Ⅱ型)模型动物,该动物因丙酮酸激酶缺陷或葡萄糖-6-磷酸脱氢酶(G-6-PD)缺陷,使红细胞膜变化引起红细胞自溶现象,但若向该动物注射ATP后,自溶现象可明显降低。由此可表明,基因对生物性状的控制方式之一是:          

  (5)某实验小组向正常小鼠胚胎细胞内导入某“X基因”后,发现靶基因能正常转录形成mRNA,但细胞内却不再合成相应蛋白质,其原因最可能是       

试题详情

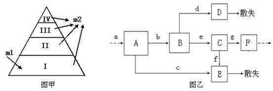
32.(8分)下图甲为某湖泊生态系统的能量金字塔简图,其中I、Ⅱ、Ⅲ、Ⅳ分别代表不同的营养级,m1、m2代表不同的能量形式。图乙表示能量流经该生态系统某一营养级的变化示意图,其中a-g表示能量值的多少。请据图作答:

  (1)图甲中,m1、m2表示的能量形式分别为                   。通常情况下,位于营养级Ⅳ的生物个体数量一般远远少于Ⅲ,主要原因是      

  (2)图乙中,若A表示图1中营养级II所摄入的全部能量,则B表示         ,C表示          。若图甲中营养级I所固定的太阳能总量为y,由营养级I、Ⅱ间的能量传递效率是        (用图中所给字母的表达式表示)。

  (3)由图乙可以总结出生态系统能量流动的主要特点是            

  (4)若图甲中营养级Ⅰ、Ⅱ、Ⅲ各有一种生物甲、乙、

丙,构成食物关系如右下图。其中,甲能量中比

例为x的部分直接提供给丙,则要使丙能量增加

AkJ,至少需要消耗甲的能量         kJ

(用所给字母的表达式表示)。

试题详情


同步练习册答案