0  348697  348705  348711  348715  348721  348723  348727  348733  348735  348741  348747  348751  348753  348757  348763  348765  348771  348775  348777  348781  348783  348787  348789  348791  348792  348793  348795  348796  348797  348799  348801  348805  348807  348811  348813  348817  348823  348825  348831  348835  348837  348841  348847  348853  348855  348861  348865  348867  348873  348877  348883  348891  447090 

15.A、C

试题详情

14.(1)由前三列数据可知物体在斜面上匀加速下滑时的加速度为a1==5m/s2mg sin ama1,可得:a=30°,

(2)由后二列数据可知物体在水平面上匀减速滑行时的加速度大小为a2==2m/s2mmgma2,可得:m=0.2,

(3)由2+5t=1.1+2(0.8-t),解得t=0.1s,即物体在斜面上下滑的时间为0.5s,则t=0.6s时物体在水平面上,其速度为vv1.2+a2t=2.3 m/s。

试题详情

13.由图得:a==0.5m/s2

前2s有:F2mg sinama,2s后有:F2mg sina,代入数据可解得:m=1kg,a=30°

试题详情

12.

物理的整个运动分为两部分,设撤去力 F 瞬间物体的速度为 v,则

由    v = a1 t1     和     0 = va2 t2                    

得    a1 t1 = a2 t2   或    2 a1 = 1.25 a2                    

     a1 =         ②

     a2 =                     ③

由①,②,③式联立解得     μ= 0.25               ④

代入②,③得   a1 = 5(m/s2)  a2 = 8(m/s2)           

         s2 = a1 t12 + a2 t22                ⑤

          = × 5 × 22 + × 8 × 1.252 = 16.25(m)   ⑥

评分标准:本题共12分。得出①、②和③式各2分,正确得出结果④式2分;正确得出结果⑥式4分,仅得出⑤式2分。

试题详情

11.

(1)从AB的过程中,人与雪橇损失的机械能为

                 ①

     ②

(2)人与雪橇在BC段做减速运动的加速度

                 ③

根据牛顿第二定律

                   ④

评分标准:

本题共10分.第(1)小题4分.得出①式得3分,得出②式得1分;第(2)小题6分.得出③式得3分,得出④式得3分.

试题详情

10.

(1)设滑板在水平地面滑行时受到的平均阻力为f,根据动能定理有

                             ①

由①式解得                  ②

(2)人和滑板一起在空中做平抛运动,

设初速为v0,飞行时间为t ,根据平抛运动规律有

                         ③

                          ④

    由③、④两式解得 

               ⑤

评分标准:

本题共10分.第(1)小题4分.得出①式得3分,得出②式得1分;第(2)小题6分.得出③式得2分,得出④式得2分,得出⑤式得2分.

试题详情

9.物体下落快慢与物体轻重无关    维持物体运动需要力

试题详情

8.C

试题详情

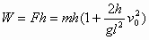
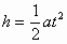
7.(1)飞机水平速度不变 (1)

y方向加速度恒定 (2)

消去t即得 (3)

由牛顿第二定律 (4)

(2)升力做功 (1)

在h处 (2)

(3)

试题详情

6.C

试题详情


同步练习册答案