0  349648  349656  349662  349666  349672  349674  349678  349684  349686  349692  349698  349702  349704  349708  349714  349716  349722  349726  349728  349732  349734  349738  349740  349742  349743  349744  349746  349747  349748  349750  349752  349756  349758  349762  349764  349768  349774  349776  349782  349786  349788  349792  349798  349804  349806  349812  349816  349818  349824  349828  349834  349842  447090 

4.下列反应中,调节反应条件以后,反应产物不会改变的是                 (   )

                    A.钠与氧气                     B.硫酸与铝片

                    C.二氧化硫与氨水            D.盐酸与铁粉

试题详情

3.下列实验中,能达到预期目的的是                                   (   )

                    A.用过滤法除去Fe(OH)3胶体中的FeCl3

                    B.用25mL碱式滴定管量取20.00mLNa2CO3溶液

                    C.将SO2通入酸性KMnO4溶液中,可证明SO2具有漂白性

                    D.只需在淀粉KI溶液中滴加少量市售食盐配制的溶液,就可鉴别真假碘盐

试题详情

2.化学科学需要借助化学专用语言来描述,下列有关化学用语正确的是         (   )

  A.硫离子的结构示意图:    

B.甲烷分子的球棍模型:

                    C.乙醇的结构简式:C2H5OH

                    D.漂白粉溶液在空气中失效:

试题详情

1.美丽的海南岛四面环海,蕴藏着丰富的海水资源,下列有关海水综合利用的说法正确的是              (   )

    A.从海水中可得到NaCl,电解熔融NaCl或其水溶液都可制得Cl2

    B.因海水中含有镁元素,故不需经过化学变化就可以得到镁单质

    C.利用蒸馏原理从海水中提取淡水是海水淡化技术发展的新方向

    D.无论是海水波浪发电还是潮汐发电,都是将化学能转化为电能

试题详情

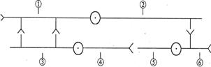
34.(14分)右图是突触模式图。请据图回答:( [   ]内填序号)

(1) ①是__________突,其末端膨大而成的杯状结构叫突出小体。

(2) 突触由[  ]               、[  ]       ____________三部分构成。

(3) ③的名称是__________,它的形成与__________

(细胞器)有关。③中所含的化学物质称为_____________。

(4) 右图中神经兴奋传递的方向是向__________(左/右),因为                     

 (5) 为神经兴奋的传导提供能量的细胞器为[   ] __________。

(6)下图示三个神经元及其联系,其中      表示从树突到细胞体再到轴突末梢。刺激②点,能发生兴奋的有__            

(7)缩手反射属于      反射

试题详情

33.下面为一测定叶片光合作用强度装置的示意图,其中叶室为透明玻璃材料制成。装置运行后,仪器气路管道中的气体流速满足正常测定的需求。据图回答相关问题:

(1)叶片的叶肉细胞叶绿体内进行的光合作用总反应式为:(要求标出氧气的来源)__________。其中参与光反应的四种反应物是①____②____③_____④_____。

(2)若采用一台精密酸度计作为CO2分析仪,进行叶室内CO2含量分析,则随着照在叶室上光照强度的增加(适宜范围内),仪表的PH将会变_____。

(3)若采用红外线CO2分析仪测定叶室内的CO2含量变化,则随着照在叶室上的光照强度的减弱,分析仪中的红外线被吸收的量将___。

(4)将一株植物置于密闭的容器中,用红外测量仪进行测量,测量时间均为1小时,测定的条件和结果如右表(数据均为标准状态下测得,单位mL)对上述结果仔细分析后,回答下列问题:

若一天有10小时充分光照,其余时间在黑暗下度过,如果光照时温度为25℃,黑暗时温度为15℃,则一昼夜积累葡萄糖      g。.

试题详情

32.(12分)下图表示某地区农业生态系统的结构模式图。请据图回答:

(1)人们通常将大豆和玉米实施套种,大豆和玉米之间的关系为       。农田中经常发生虫害,若调查该农田某种害虫虫卵的密度应采用的方法是      

(2)秸秆在沼气池中处理成沼渣后肥效提高,这是因为      

(3)为了提高蔬菜产量,人们通常将蘑菇房与蔬菜大棚相通,原因是       

(4)该生态系统充分利用了废弃物中能量,形成“无废弃物农业”,遵循了生态工程的

         原理。

(5)假设该农场将生产玉米的1/3作为饲料养鸡,2/3供人食用,生产出的鸡供人食用。现调整为2/3的玉米养鸡,1/3供人食用,生产出的鸡仍供人食用。理论上,该农场供养的人数将         。(增加、减少)

试题详情

31.已知番茄的抗病与感病、红果与黄果、多室与少室这三对相对性状各受一对等位基因的控制,抗病性用A、a表示,果色用B、b表示、室数用D、d表示。为了确定每对性状的显、隐性,以及它们的遗传是否符合自由组合定律,现选用表现型为感病红果多室和______________两个纯合亲本进行杂交,如果F1表现抗病红果少室,则可确定每对性状的显、隐性,并可确定以上两个亲本的基因型为______________和_______________。将F1自交得到F2,如果F2的表现型有_______种,且它们的比例为____________________________,则这三对性状的遗传符合自由组合规律。

试题详情

30.(13分)硫酸铵是一种常用的铵态氮肥。下表是硫酸铵化肥品质的主要指标。

指标
项目
优等品
一等品
合格品
外观
白色结晶,无可见机械杂质
无可见机械杂质
氮(N)含量
≥21.0%
≥21.0%
≥20. 5%

某化学研究性学习小组为本地农业生产服务,对某农用品商店出售的一等品硫酸铵化肥的品质进行探究。

[观察外观]

该硫酸铵化肥无可见机械杂质。

[实验探究]

按右图所示装置进行实验。

(1)烧瓶内发生反应的离子方程式为:      烧杯中盛放的试剂最好是       (填“浓硫酸”、“稀硫酸”或“水”)

(2)实验过程中,需往烧瓶中加入足量浓氢氧化钠溶液并充分加热的原因

        

(3)[交流讨论]

甲同学:根据此实验测得的数据,计算硫酸铵化肥的含氮量可能偏高,因为实验装置中存在一个明显缺陷是:                     

 乙同学:实验装置中还存在另一个明显缺陷是           

经过大家充分讨论一致认为:针对甲、乙两位同学指出的实验装置中存在的明显缺陷,需改进实验装置,重新进行实验

(4)[探究结论]

称取13.0 g硫酸铵化肥样品,用改进后的实验装置重新进行实验,测得实验后B装置增重3.4 g。则该化肥为        (填优等品,一等品或合格品)

试题详情

29.(16分) 工业上用甲苯生产对羟基苯甲酸乙酯D,其生产流程如下图:

请回答下列问题:

(1)写出有机物A的结构简式______________,D的分子式_____________。

(2)反应②的反应类型__________,反应④的反应类型_________。

(3)反应③、⑤的化学方程式:

反应③_______________________________________________;

反应⑤_______________________________________________。

(4)在合成线路中,设计第③、⑥两步反应的目的是________________________。

试题详情


同步练习册答案