0  353314  353322  353328  353332  353338  353340  353344  353350  353352  353358  353364  353368  353370  353374  353380  353382  353388  353392  353394  353398  353400  353404  353406  353408  353409  353410  353412  353413  353414  353416  353418  353422  353424  353428  353430  353434  353440  353442  353448  353452  353454  353458  353464  353470  353472  353478  353482  353484  353490  353494  353500  353508  447090 

34.(甘肃兰州一中2009年高三第三次高考诊断,31  )果蝇繁殖力强、易饲养,是一种良好的遗传学研究材料。实验室一个小组发现了1只灰体残翅(未交配过的雌果蝇),另一小组发现了1只黑体长翅雄果蝇。两个小组将这2只果蝇进行下述实验来解决有关问题。

   实验步骤:

   ①把灰体残翅雌果蝇和黑体长翅雄果蝇放入同一容器中培养,使其交配并产生足够的后代F1

   ②F1成熟后观察雌雄果蝇的性状,发现全是灰体长翅。

   ③F1雌雄果蝇相互交配产生F2,观察其性状并记录结果。  

   ④统计分析F2的各种表现型及其比例。

根据上述材料回答有关问题:

  (1)若已知控制黑体、灰体性状的基因位于细胞核中,能否通过预测F2黑体、灰体的性状表现来推断控制黑体、灰体的基因是位于常染色体上还是X染色体上?请简要说明理由。         

  (2)若F2中有出现黑体、残翅果蝇,且控制这两对性状的基因位于常染色体上,如何利用该黑体、残翅果蝇来确定控制这两对性状的基因是否位于两对同源染色体上?(要求:写出杂交方法,并通过预测后代的表现型及其比例并作出相应分析和结论)

试题详情

33.(甘肃省河西部分普通高中2009届高三第二次联合考试,31 )

育种学家根据未来市场的需求,制定出小麦的育种目标(略),并根据育种目标选择了具有n对相对性状(假设相应的等位基因分别位于n对同源染色体上)差异的甲、乙两品种作亲本。育种程序如图所示。

(1)已知小麦的无芒(aa)、白粒(bb)这隐性,请以遗传图解的形式阐述有芒红粒(AaBb)与有芒白粒(Aabb)小麦杂交的过程及结果。

(2)若甲品种的性状为纯种高杆(D),抗锈病(T)小麦。乙品种的性状为纯种矮杆(d),易感病(t)小麦。则如图所示F2中选出的抗倒伏抗锈病植株中纯合子占     ,若让该性状个体再自交,则子代中符合要求的纯合子占   。    

(3)从图中育种过程可知,优良品种的获得是通过          而得以进化,其实质是      

(4)单倍体育种与图所示育种方式相比具有的突出特点是      。秋水仙素可以使单倍体转变成正常植株,其具体的作用是       

   (5)人们发现,F1(杂种)的长势远远优于双亲。若育种对象为马铃薯,则可以F1的块茎直接繁殖用于生产,此繁殖方式的突出特点是       

(6)诱变育种也是获得新品种的重要途径,人工诱变与自然突变相比,突出的特点是 

试题详情

31.(福建省“三地五校”2009届高三模拟考试,27  ) 遗传学的研究知道,家兔的毛色是受A、a和B、b两对等位基因控制的。其中,基因A决定黑色素的形成;基因B决定黑色素毛皮内的分散(黑色素的分散决定了灰色性状的出现);没有黑色素的存在,就谈不上黑色素的分散。这两对基因分别位于两对同源染色体上。育种工作者选用野生纯合子的家兔进行了如下图的杂交实验:

P   灰色×白色

     ↓

F1    灰色

     ↓ 自交(同代基因型相同的异性个体相交)

F2  灰色  黑色  白色

    9  : 3  : 4

请分析上述杂交实验图解,回答下列问题:

(1)控制家兔毛色的两对基因在遗传方式上___________(符合、不完全符合、不符合)孟德尔遗传定律,其理由是________________________________________。

(2)表现型为灰色的家兔中基因型最多有_________种;表现型为黑色的家兔中,纯合子的基因型为______________。

(3)在F2表现型为白色的家兔中,与亲本基因型相同的占________;与亲本基因型不同的个体中杂合子占_______________。

(4)育种时,常选用某些野生纯合的黑毛家兔与野生纯合白兔进行杂交,在其后代中,有可能得到灰毛兔,请试用遗传图解并简要说明原因?

32(福建省龙岩一中2009届高三最后一次模拟考试,27 )Ⅰ. 果蝇是非常小的蝇类,右图是科学家对果蝇正常染色体上部分基因的测序结果。请据图回答:

(1)根据图1,控制黄身和朱红眼的两个基因在形成配子时,      (能或不能)遵循基因自由组合定律。其原因是                    

(2)果蝇体内的图1染色体上所呈现的基因,不一定能在后代中全部表达,可能的原因是:                    

(3)与图1相比,图2发生的变异是         

Ⅱ.雕鸮(鹰类)的控制颜色(用A、a表示)和斑纹(用B、b表示)的两对基因分别位于两对常染色体上,其中有一对基因具有显性纯合致死效应。已知绿色条纹雕鸮与黄色无纹雕鸮交配,F1为绿色无纹和黄色无纹,比例为1:1。当F1的绿色无纹雕鸮彼此交配时,其后代表现型及比例为:绿色无纹:黄色无纹:绿色条纹:黄色条纹=6:3:2:l。

请据此分析回答下列问题:

(1)写出亲代到F1代的遗传图解。

(2)F1的绿色无纹雕鸮彼此交配的后代中致死基因型有           

试题详情

30.(安徽省安庆市新安中学2009届高三高考模拟卷,29)(二)(13分)报春花的花色表现为白色(只含白色素)和黄色(含黄色锦葵色素)一对相对性状,由两对等位基因(A和a,B和b)共同控制,显性基因A控制以白色素为前体物合成黄色锦葵色素的代谢过程,但当显性基因B存在时可抑制其表达(生化机制如下图所示)。据此回答:

 

报春花花色遗传的生化机制
 
B(位于1号染色体)
 
 
 
白色素             黄色锦葵色素
(前体物)
 

(1) 开黄花的报春花植株的基因型可能是      

(2) 现有AABB、aaBB和aabb三个纯种白色报春花品种,为了培育出能稳定遗传的黄色品种,某同学设计了如下程序:

Ⅰ.选择________和________两个品种进行杂交,得到F1种子;

Ⅱ.F1种子种下得Fl植株,F1随机交配得F2种子;

Ⅲ.F2种子种下得F2植株,F2自交,然后选择开黄色花植株的种子混合留种;

Ⅳ.重复步骤Ⅲ若干代,直到后代不出现性状分离为止。

(3) 根据上述程序,回答相关问题:

①F1植株能产生比例相等的四种配子,原因是          

②报春花的雌蕊和雄蕊不等长,自然状态下可以进行异花传粉。为了让F2自交,应该怎样处理?              

③F2植株中开黄花的占         ,在这些开黄花的植株上所结的种子中黄色纯合子占              

④请你在原方案的基础上补充设计一个新的方案,以缩短培育年限    

试题详情

29. (09金华十校二模)(18分)回答下列有关遗传问题:

I.葫芦科中一种称为喷瓜的植物,其果皮深色(B)对浅色(b)是显性,而其性别是由3个复等位基因决定的,为显性',为显性。它们的性别表现与基因型如右表所示:

(1)由上表可知,决定雄性、两性、雌性植株的基因依次是:________。

(2)请解释雄性植株中不存在纯合体的原因? ________。

(3) 若将雌雄同株的四倍体浅色喷瓜和雌雄同株的纯合二倍体深色喷瓜间行种植,收获四倍体植株上所结的种子,若从细胞染色体组的角度预测这些种子播种后发育成的 植株会有________种类型。能否从果皮颜色直接判断出这些植株的类型? ________ (请用遗传图解解释,并作简要说明。决定雌雄的基因不需要写出)

Ⅱ.在一群体型一直较正常的牛群中出现了一头矮生雄牛,某研究小组在讨论该矮生雄牛形成原因时,有三种不同的观点。

观点一:种群中某一个体产生了隐性突变,该突变基因随着个体间的交配,在群体中得以扩散,矮生基因携带者交配后发生性状分离产生该矮生雄牛。

观点二:由于非遗传因素(如饲养条件)的因素引起的。

观点三:______          __。

请你设计一个杂交试验,根据子一代杂交结果得出相应的结论。(说明:若是遗传因素,则这一相对性状由常染色体上的一对等位基因控制)

(1)杂交试验方案________,在正常的饲养条件下,观察子代的表现。

(2)杂交结果及结论:

①若子代出现________情况,则观点一正确。

②若子代出现________情况,则观点二正确。

③若子代出现________情况,则观点三正确。

试题详情

28. (09台州中学三模)(22分)“假说-演绎法”是在观察和分析的基础上提出问题,通过推理和想像提出解释问题的假说,根据假说进行演绎推理,再通过实验检验演绎推理结论的科学方法。

(1)孟德尔以黄色圆粒纯种豌豆和绿色皱粒纯种豌豆做亲本,分别设计了纯合亲本杂交、F1自交、F1测交的实验,按照“假说-演绎”法(即分析现象-提出假说-检验假说-得出结论),最后得出了自由组合定律。孟德尔在两对相对性状的遗传实验中:

①用于解释实验现象的“假说”是     。受精时,雌雄配子的结合是随机的。雌雄配子的结合方式有16种;遗传因子组合类型有9种;F2代的性状表现为4种:黄色圆粒、黄色皱粒、绿色圆粒、绿色皱粒,数量比为9∶3∶3∶l。

②根据假说的“演绎”过程是:若上述假说成立,则      

③在检验假说阶段进行的实验是     

(2)果蝇体表硬而长的毛称为刚毛,一个自然繁殖的直刚毛果蝇种群中,偶然出现了一只卷刚毛雄果蝇。已知直刚毛和卷刚毛是受等位基因A和a控制的。请回答下列问题:

①这只雄果蝇的卷刚毛性状是如何产生和遗传的呢?有一种假说认为这是亲代生殖细胞中X染色体上的基因发生了显性突变。请你尝试再写出两种假说:          

②已知这只卷刚毛雄果蝇与直刚毛雌果蝇杂交,F1全部是直刚毛,F1雌雄果蝇随机交配,F2的表现型及比例是直刚毛雌果蝇∶直刚毛雄果蝇∶卷刚毛雄果蝇=2∶1∶1,此时最合理的假说是    。        

③为验证②中的假说,某同学设计了如右图所示的杂交试验。该实验及现象是否能够验证第②小题中提出的假说?请说明理由。

④若为你提供以下一些纯合的果蝇作为材料:直刚毛雌果蝇、直刚毛雄果蝇、卷刚毛雌果蝇、卷刚毛雄果蝇,请你也来设计一个杂交试验,以验证第②小题中提出的假说,并预测实验结果:         

实验方案:     。(只要求写出杂交亲本的表现型)。      

预测结果:      

试题详情

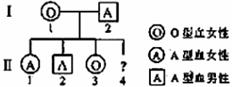
27.(09天津卷7)人的血型是由红细胞表面抗原决定的。左表为A型和O型血的红细胞表面抗原及其决定基因,右图为某家庭的血型遗传图谱。

血型
A
红细胞裂面A抗原

抗原决定基因
(显性)
O

(隐性)

据图表回答问题:

(1)控制人血型的基因位于     (常/性)染色体上,判断依据是                

                        

(2)母婴血型不合易引起新生儿溶血症。原因是在母亲妊娠期间,胎儿红细胞可通过胎盘进入母体;剌激母体产生新的血型抗体。该抗体又通过胎盘进入胎儿体内,与红细胞发生抗原抗体反应,可引起红细胞破裂。因个体差异,母体产生的血型抗体量及进入胎儿体内的量不同,当胎儿体内的抗体达到一定量时,导致较多红细胞破裂,表现为新生儿溶血症。

①II-1出现新生儿溶血症,引起该病的抗原是           。母婴血型不合  

        (一定/不一定)发生新生儿溶血症。

②II-2的溶血症状较II-1严重。原因是第一胎后,母体已产生      ,当相同抗原再次剌激时,母体快速产生大量血型抗体,引起II-2溶血加重。

③新生儿胃肠功能不健全,可直接吸收母乳蛋白。当溶血症新生儿哺母乳后,病情加重,其可能的原因是                            

(3)若II-4出现新生儿溶血症,其基因型最有可能是        

试题详情

26.(原创)假定等位基因A和a,B和b是独立分配的,且A对a,B对b为显性,则基因型AABb亲本自交后代中,出现亲本没有的新性状占(   )

A.0      B.3/8      C.1/12      D.1/4

试题详情

25.(原创)已知玉米的种皮黄色对白色玉米粒是显性,胚乳紫色对白色是显性。现有种皮黄色胚乳紫色和白色种皮胚乳紫色的玉米种植后,进行杂交。所结玉米粒共有102粒,其中种皮黄色胚乳白色49粒, 下列说法正确的是(   )

A.亲本黄色种皮胚乳紫色玉米粒是杂合子,亲本白色种皮胚乳紫色玉米粒是杂合子。

B.亲本黄色种皮胚乳紫色玉米粒是杂合子,亲本白色种皮胚乳紫色玉米粒是纯合子。

C.亲本黄色种皮胚乳紫色玉米粒是纯合子,亲本白色种皮胚乳紫色玉米粒是杂合子。

D.亲本黄色种皮胚乳紫色玉米粒是纯合子,亲本白色种皮胚乳紫色玉米粒是纯合子。

试题详情

24.(原创)把两粒黄色圆粒豌豆,分别种植。第一粒种植成熟后结了15粒豌豆,其中2粒是绿色皱粒豌豆。另一粒豌豆种植成熟后共结了20粒豌豆,其中有5粒豌豆是黄色皱粒豌豆。下列说法正确的是(   )

A.第一粒豌豆结的豌豆中,没有黄色圆粒豌豆出现。

B.第一粒豌豆节的豌豆中,黄色皱粒豌豆可能有3粒左右。

C.第二粒豌豆结的豌豆中,其余十五粒豌豆都是黄色圆粒豌豆。

D.第二粒豌豆节的豌豆中,一定不会出现绿色皱粒豌豆。

试题详情


同步练习册答案