0  353913  353921  353927  353931  353937  353939  353943  353949  353951  353957  353963  353967  353969  353973  353979  353981  353987  353991  353993  353997  353999  354003  354005  354007  354008  354009  354011  354012  354013  354015  354017  354021  354023  354027  354029  354033  354039  354041  354047  354051  354053  354057  354063  354069  354071  354077  354081  354083  354089  354093  354099  354107  447090 

3.两个物体之间的万有引力大小为,若两物之间的距离减小x,两物体仍可视为质点,此时两个物体之间的万有引力大小为,根据上述条件可以计算(    )

     A.两物体的质量                   

     B.万有引力常数

     C.两物体之间的距离               

     D.条件不足,无法计算上述选项中的任何一个物理量

试题详情

2.用长短不同、材料相同的细绳各拴着一个质量相同的小球在光滑水平面上做匀速圆周运动,则(    )

     A.两个小球以相同的速率运动时,长绳易断

     B.两个小球以相同的角速度运动时,短绳易断

     C.两个小球以相同的角速度运动时,长绳易断

     D.与绳子长短无关

试题详情

1.对于做曲线运动的物体,下列说法中正确的是(    )

   A.物体的速度大小一定变化    B.物体的速度方向一定变化

C.物体的加速度大小一定变化   D.物体的加速度方向一定变化

试题详情

20、(本小题满分14分)

已知圆C过点P(1,1)且与圆M:关于直线对称

(1)求圆C的方程

(2)设为圆C上一个动点,求的最小值

(3)过点P作两条相异直线分别与圆C相交于A、B两点,且直线PA和直线PB的倾斜角互补,O为坐标原点,试判断直线OPAB是否平行,并请说明理由.

解:(1)依题意,可设圆的方程为,且满足方程组

              ………………2分

由此解得  .又因为点在圆上,所以

.故圆的方程为.…4分

(2)设,且=     …………6分

,则由与圆相交,求得的取值范围为[-2,2]

的最小值为了                   …………8分

或者令,,则=

因为,则的最小值为了       …………8分

(3)由题意可知,直线和直线的斜率存在且互为相反数,

故可设所在的直线方程为所在的直线方程为.…9分

  消去,并整理得 :

.  ①      …………10分 

,又已知P 的横坐标1一定是该议程的根,则、1为方程①的两相异实数根,由根与系数的关系得  .同理,若设点B ,则可得.…12分

于是  =1.      ……13分

而直线的斜率也是1,且两直线不重合,因此,直线平行.…………14分

试题详情

19、(本小题满分14分)

如图:某污水处理厂要在一个矩形污水处理池的池底水平铺设污水净化管道是直角顶点)来处理污水,管道越长,污水净化效果越好.设计要求管道的接口的中点,分别落在线段上.已知米,米,记.

(1)试将污水净化管道的长度表示为的函数,并写出定义域;

(2)若,求此时管道的长度

(3)问:当取何值时,污水净化效果最好?并求出此时

管道的长度.

答案1、解:(1)  …………2分

 ……………………………………………………4分

由于

…………………………………………………5分

 , .……………………………6分

(2) 时,,………………………………………7分

;……………………………………………………………………8分

(3)=       

  则……………………………………10分

由于,所以 …12分

内单调递减,于是当时         

的最大值米. ………………………………………………………13分

答:当时所铺设的管道最短,为米.………………14分

试题详情

18、(本小题满分14分)

设平面内有四个向量,且满足=-=2-, ||=||=1

(1)求||,||;

(2)若的夹角为,求cos.

解:(1)

……4分
 
解得:

……5分
 

……8分
 

……10分
 
(2)由

……12分
 

……14分
 

试题详情

17、(本小题满分14分)

已知函数+1,求:

(1)求函数的单调减区间;

(2)求函数的最大值,以及函数取得最大值时自变量的集合

解:(1)将函数化简+1=

……6分
 
            ==

……7分
 
时,即

……9分
 
函数的单调减区间为

……11分
 
(2)当=1时,函数取得最大值为

此时=

……12分
 

……14分
 
故函数取得最大值时的自变量集合为

试题详情

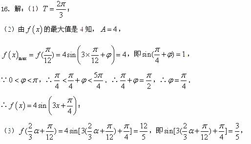
16、(本小题满分12分)

已知函数时取得最大值4。

(1)求的最小正周期;

(2)求的解析式;

……3分
 
(3)若,求

……12分
 
……4分
 
……8分
 

试题详情

15、(本小题满分12分)已知,且

(1)求的值

(2)求的值

解:(1)由,得,又……6分

(2)==……12分

试题详情

14、已知函数的值域为__________

试题详情


同步练习册答案