0  354162  354170  354176  354180  354186  354188  354192  354198  354200  354206  354212  354216  354218  354222  354228  354230  354236  354240  354242  354246  354248  354252  354254  354256  354257  354258  354260  354261  354262  354264  354266  354270  354272  354276  354278  354282  354288  354290  354296  354300  354302  354306  354312  354318  354320  354326  354330  354332  354338  354342  354348  354356  447090 

2.物体做平抛运动的时间是由下列哪个物理量决定的(       )

A.水平位移                  B.下落高度

C.初速度           D.物体的质量

试题详情

1.如图所示,红蜡块能在玻璃管的水中匀速上升,若红蜡块在A点匀速上升的同时,玻璃管水平向右做匀速直线运动,则红蜡块实际运动的轨迹是图中的(   )

A.直线P        B.曲线Q 

C.曲线R        D.无法确定

试题详情

1
2
3
4
5
6
7
8
9
10
11
12
D
A
C
B
A
D
C
C
B
A
C
A

  (2)

    时,

      当时,

即(v-25)(v-64)<0,

解得25<v<64.

答:当v=40千米/小时,车流量最大,最大车流量约为 千辆/小时.如果要求在该时段内车流量超过10千辆/小时,则汽车的平均速度应大于25千米/小时且小于64千米/小时.

22、(本小题14分)

解:(I)由可得:所以数列是等差数列,首项,公差

 

                          

  (II)∵

     ∴  解得

     解得n的取值范围:

试题详情

22、(本小题14分)数列满足()。

(I)求证:数列是等差数列;

(II)若,求的取值范围。

广德县实验中学、宣州区水阳高级中学2009-2010学年度第二学期期中考试两校联考高一年级数学试卷参考答案

试题详情

21、(本小题14分)经过长期观测得到:在交通繁忙的时段内,某公路段汽车的车流量y(千辆/小时)与汽车的平均速度v(千米/小时)之间的函数关系为:

(1)在该时段内,当汽车的平均速度v为多少时,车流量最大?最大车流量为多少?(保留分数形式)

(2)若要求在该时段内车流量超过10千辆/小时,则汽车的平均速度应在什么范围内?

试题详情

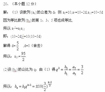
20、(本小题12分)等差数列{an}不是常数列,a5=10,且a5,a7,a10是某一等比数列{bn}的第1,3,5项,

(1)求数列{an}的第20项;(2)求数列{bn}的通项公式。

试题详情

19、(本小题满分12分)在等比数列中,

试求:(1)和公比

(2)前6项的和

试题详情

18、(本小题10分)已知不等式的解集为

(1)求b和C的值;   (2)求不等式的解集。

试题详情

17、(本小题10分)已知abc分别是的三个内角ABC所对的边,若面积b的值。

试题详情

16、数列 1, 2, 3, 4, 5, …, 的前n项之和等于         

试题详情


同步练习册答案