0  355126  355134  355140  355144  355150  355152  355156  355162  355164  355170  355176  355180  355182  355186  355192  355194  355200  355204  355206  355210  355212  355216  355218  355220  355221  355222  355224  355225  355226  355228  355230  355234  355236  355240  355242  355246  355252  355254  355260  355264  355266  355270  355276  355282  355284  355290  355294  355296  355302  355306  355312  355320  447090 

26.(14分)

(1)   胞嘧啶             氢键      

(2)__DNA复制____  ______   转录       碱基互补配对原则        

(3)a  乙链含脱氧核糖 丙链含核糖 ,  b 乙链含胸腺嘧啶 丙链含尿嘧啶              

试题详情

15.(13分)解:

(1) 设月球的质量为M,对月球表面上质量为的物体

有    (3分)  得     (1分)

(2) 设飞船的质量为m对于圆形轨道I的飞船运动

有   (3分)

解得飞船在轨道I运动的速率为      (1分)

(3) 设飞船在轨道III绕月球运行一周所需的时间为T

   有  (3分)  解得  (2分)

试题详情

14.(16分)解:从图像可知:F1= 440N,F2=mg= 400N,F3= 320N。

(1)0-4s内,F1>mg,电梯加速上升,有    (2分)上升高度  (2分)

评分说明:结果错、单位错(漏)均扣1分。

试题详情

13.(12分)解:(1)摩托车从A点开始做平抛运动,临界点即恰在 B 点着地,有

水平方向上   (2分)    竖直方向上   (2分)

得车过A点的最小速度 (3分)

(2)摩托车从静止开始匀加速启动有             (3分)

得匀加速启动的最小加速度     (2分)

评分说明:结果错、单位错(漏)均扣1分。未开方的不扣分。

试题详情

12.(12分)解:

(1)从A到B机械能守恒有   (3分)  得(2分)

(2)铁块受摩擦力   (2分)

从B到C用动能定理有  (3分)  得   (2分)

试题详情

11.(7分)解:匀速圆周运动的线速度  (4分)

匀速圆周运动的角速度   (3分)

评分说明:要求带入数值计算,结果错、单位错(漏)均扣1分。

试题详情

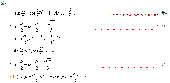
22.(本小题满分13分)

解: (Ⅰ)方法1:

,  ………………………………………………1分

 ,

, ……………………………………………………………2分

 ,

 ,

.            ………………………………4分       ;           ………………………………6分(Ⅱ)

可知;          …………………………7分

 

 ,        …………………………9分

  , .    …………………………11分

 

 

.      ……13分

试题详情

21.(本小题满分13分)

解:(Ⅰ)四边形为平行四边形,

.                ……………………………2分

,∴

依题意非零且不共线,∴.          ………………………4分

(Ⅱ)设.

 即 

                    …………………6分

   又

  .         ……………………………………………………………11分

  ,则.

     

 

.    ………………………………………………………13分

试题详情

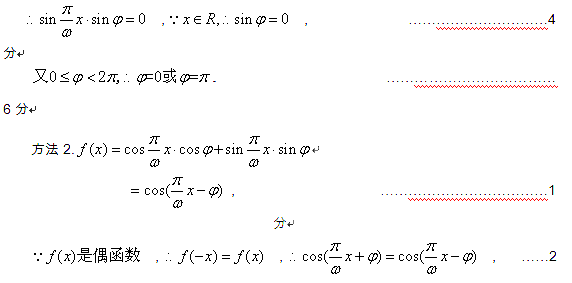
20.(本小题满分12分)

解:(Ⅰ) .             ……………1 .………………………………………………………8分

 .          …………………………9分

 .      …………………………………10分

      .    ………………………………

12分

试题详情

19.(本小题满分12分)

解:四边形ABCD为正方形.                   ……………… 1分

证明:由 ,               ……………… 3分

 ,              ……………………… 5分

 , 

ABDC, AB=DC.

ABCD是平行四边形 .                 ……………………… 7分

,              ……………………… 8分

=3×(-1)+1×3=0,                  ……………… 10分               

ABAD.

又 ||=,||=AB=AD .

∴平行四边形ABCD是正方形.               ……………………  12分

试题详情


同步练习册答案